z test Flashcards

(4 cards)

1
Q

z-test

A

based on comparing an obtained sample mean (X̄obt) to a known sampling distribution

How well did you know this?
1
Not at all
2
3
4
5
Perfectly
2
Q

X̄obt

A

obtained sample mean

How well did you know this?
1
Not at all
2
3
4
5
Perfectly
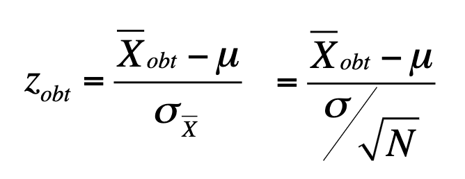
3
Q

How do you calculate a z-score for a sample mean

A
How well did you know this?
1
Not at all
2
3
4
5
Perfectly
4
Q

z-test steps

A
  1. check that assumptions are met (dependent measure is on interval or ratio scale; sampling distribution to compare X̄obt to is approximately normal)
  2. formulate null and alternate hypotheses
  3. set alpha value
How well did you know this?
1
Not at all
2
3
4
5
Perfectly