1. Atomic Structure Flashcards

(34 cards)

1
Q

What is the mass of a:
proton =
neutron=
electron=

A

proton= 1AMU
neutron=1 AMU
electron= 1/2000 the mass of a proton

How well did you know this?
1
Not at all
2
3
4
5
Perfectly
2
Q

What is the difference between:
Atomic Number
Mass number

A

Atomic Number- The number of protons given in the element ( this never changes).

Mass number- The sum of the element’s protons and neutrons. This can change if there are isotopes.

How well did you know this?
1
Not at all
2
3
4
5
Perfectly
3
Q

What are valence electrons?

A

Electrons that are far from the nucleus . They are more likely to become involved in bonds with other atoms.

How well did you know this?
1
Not at all
2
3
4
5
Perfectly
4
Q

What is an isotope?

A

same element with varying mass numbers.

Essentially, it has a different number of NEUTRONS.

Remember, the number of protons never changes.

How well did you know this?
1
Not at all
2
3
4
5
Perfectly
5
Q

What is the atomic mass?

A

essentially equal to the mass number, the sum of an element’s protons and neutrons

How well did you know this?
1
Not at all
2
3
4
5
Perfectly
6
Q

How is 1 AMU defined?

A

1/12th the mass of a carbon-12 atom.

How well did you know this?
1
Not at all
2
3
4
5
Perfectly
7
Q

What are the isotopes of hydrogen? How many AMUs are they?

A

Protium= 1 proton and AMU=1 (no neutron)
Deuterium= 1 proton, 1 neutron (AMU=2)
Tritium= 1 proton, 2 neutrons (AMU=3)

How well did you know this?
1
Not at all
2
3
4
5
Perfectly
8
Q

What is the atomic weight?

A

the weighted average of the naturally occurring isotopes of an element.

This is important to note because the periodic table lists the atomic weight (average) not the mass.

For example: if you have two isotopes for chlorine, chlorine 35 and chlorine 37, and there are three times more chlorine 35 than chlorine 37, than the atomic weight will be closer 35.

How well did you know this?
1
Not at all
2
3
4
5
Perfectly
9
Q

What is Avogadro’s number?

A

6.022 x 1023

The atomic weight = mass of one mole of an element

How well did you know this?
1
Not at all
2
3
4
5
Perfectly
10
Q

What is Quantum?

A

The difference between energy levels of orbits.

How well did you know this?
1
Not at all
2
3
4
5
Perfectly
11
Q

What is the Planck Relation and what does it describe?

A

Describes the energy of the quanta (energy between orbitals).
It is discrete, not continuous
It represents the energy of an emitted electron

E=hf Plank relation (frequency)

E= the energy of the quanta
h= the proportionality constant known as Planck’s constant= 6.626x10-34
f= (sometimes V) the frequency of radiation

How well did you know this?
1
Not at all
2
3
4
5
Perfectly
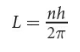
12
Q

What is the angular momentum of the electron and what does it represent?

A

if you increase the velocity, mass, or radius, or orbit, you increase the angular momentum.

n=orbit in which the electron is revolving
v= velocity

m=mass of the electron
r= radius of the nth orbit

How well did you know this?
1
Not at all
2
3
4
5
Perfectly
13
Q

What is the energy of the electron equation?

A

e= energy of the electron
RH= Rydberg Unit of Energy= 2.18 x 10-18 J/Electron
n=orbit in which the electron is revolving

What’s important is that the distance it is removed from the nucleus will reduce the charge by the ^2 value of the distance.

Relationships: From this, we can see that really the only variable that changes is n, or the orbit. So the energy is directly proportional to the orbit of the electron. Additionally, it really is only going to change in discrete amounts, because orbits occur at discrete levels.

How well did you know this?
1
Not at all
2
3
4
5
Perfectly
14
Q

How can you go from a lower energy level to higher energy level with electrons? (x4)

A

Absorb light
Higher potential energy
Excited State
Distant (from nucleus)

How well did you know this?
1
Not at all
2
3
4
5
Perfectly
15
Q

What is ground state vs excited state?

A

Ground State: of an atom is the state of lowest energy, in which all electrons are in the lowest possible orbitals.

Excited State: when at least one electron has moved to a subshell of a higher than normal energy.

How well did you know this?
1
Not at all
2
3
4
5
Perfectly
16
Q

What is the atomic absorption spectrum?

A

This is unique to each element. For an electron to jump from a lower energy level to a higher one, it must absorb an amount of energy precisely equal to the energy difference between the two levels.

These correspond exactly to the wavelengths of the emission.

You can use this to identify elements in the gas phase using absorption spectra.

17
Q

What is the atomic emission spectrum?

A

When electrons return from the excited state to the ground state, they emit an amount of energy that is exactly equal to the energy difference between the two levels, and each element has its unique level. Sometimes the electromagnetic energy corresponds to its visible light range

18
Q

What is the Electromagnetic Energy of Photons?

A

Electromagnetic Energy of Photons: these occur when an electron goes from a higher to lower state, and by doing so emits a photon. Each photon will have a characteristic wavelength of energy specific to the energy transition it undergoes.

19
Q

What is the equation for the energy of electron transition?

A

E= electromagnetic energy released by photon when electron drops from higher to lower state
Planck’s constant= 6.626x10-34 Jules x sec
C= speed of light in a vacuum (3.00 x 108 m/s)
λ= wavelength of the radiation

20
Q

What is the quantum mechanical model?

A

posits that electrons do not travel in defined orbits but rather are localized in orbitals

This is a more advanced understanding than the stand shell model (Bohr).

21
Q

What is the Heisenberg Uncertainty Principle?

A

It is impossible to simultaneously determine, with perfect accuracy, the momentum and the position of an electron

22
Q

What is an orbital?

A

Region of space around the nucleus defined by the probability of finding an electron in that region of space.

23
Q

What are the four quantum numbers?

A

n (Principal quantum number): describes the energy of the shell
Values: Can be any positive integer value. (essentially, each row is labeled 1-7)

l (azimuthal quantum number): Describes the subshells within a given energy level
subshells: s,p,d,f
* s= l=0
* p= l=1
* d= l=2
* f= l=3
* Mnemonic: Scott’s penis digs fags.
Values: n-1
(essentially, each different section)

ml(Magnetic Quantum Number)- specifies the particular orbitals within a subshell where an electron is likely to be found at a given moment of time
Values: -l and +l
Possible value: 2l+ 1
(essentially, each box)

ms (spin quantum number): indicates the spin orientation of an electron in an orbital.
-Have possible values of +1/2 and -1/2 only
-If two electrons are in the same orbital, they must have the opposite spin.
(essentially, the direction of each arrow)

24
Q

What are the maximum numbers of electrons that each shell can have?

A

2n2

Why? Because there can be 2 electrons per orbit

25
What are the maximum number of electrons in a subshell?
**2l+1** For a given shell, l, the number of subshells, ml=(2l+1) Since each subshell can accommodate 2 electrons of opposite spin, so maximum number of electrons in a subshell is (2(2l+1))= 2l+2
26
What does the electron configuration of **spectroscopic notation** tell us?
It tells us the location of electrons.
27
How do electrons fill the subshells?
Lowest first, then highes, or the n+1 rule.
28
What is **Pauli Exclusion principle**?
**No two electrons** in a given atom can possess the **same set of four quantum numbers**
29
What is the **Aufbau principle**?
Each **subshell will fill completely** before electrons begin to enter the next one
30
What is the **electron configuration** of **chromium**?
Not what you think, it's a little wonky. Moving one electron from the 4s subshell to the 3d subshell allows for the 3d subshell to be half filled. Although moving the 4s electron up to the 3d orbital is energetically unfavorable, the extra stability from making the 3d subshell half-filled outweighs the cost. Why? Sometimes there is reduced energy when ALL of the d subshells are half full, rather than partly half full.
31
What is the **electron configuration** for Copper?
Why? A full d subshell outweighs the cost of moving an electron out of the 4s subshell. Other elements in the same group have similar behavior, moving on electron from the highest s subshell to the highest d subshell.
32
What does **paramagnetic mean**?
materials have **unpaired electrons** that align with magnetic fields, **attracting the material to a magnet** para=alongside
33
What does **diamagnetic mean**?
materials have all **paired electrons**, which cannot easily be realigned, they are **repelled by magnets** dia=across, through... not helpful
34
How do you determine the maximum electrons in each shell? How do you determine the maximum number of electrons in each subshell?
1. each Shell: 2n2 2. Each Subshell:4l+2