All equations Flashcards

(29 cards)

1
Q

What is the equation for heat transfer (no phase change)?

A

q= heat
m= mass
c= specific heat of the substance
∆T= (T initial- T final)
L= latent heat (cal/g)

How well did you know this?
1
Not at all
2
3
4
5
Perfectly
2
Q

What is the equation for heat transfer with phase change?

A

q=mL

q= heat
m= mass
L= latent heat (cal/g)

How well did you know this?
1
Not at all
2
3
4
5
Perfectly
3
Q

What is the equation for entropy?

Entropy is the degree to which energy has been spread throughout a system or in-between systems.

A

∆S= Change in Entropy, units= J/(mol*K) (When energy goes into a system, entropy INCREASES. When energy goes out of a system, the energy decreases)
Qrev= heat that is gained or lost in a reversible process
T= temperature in Kelvin

How well did you know this?
1
Not at all
2
3
4
5
Perfectly
4
Q

What is the equation to evaluate gibbs free energy?

A

∆G= ∆H - T ∆S

∆G= Gibbs free energy
∆H= enthalpy
T= temperature
∆S= Entropy
Mnemonic= Goldfish are horrible without tarter Sause

How well did you know this?
1
Not at all
2
3
4
5
Perfectly
5
Q

What is the equation to get standard Gibbs free energy from the equilibrium constant?

A

∆G°rxn = standard free energy
R= the ideal gas constant
T= temperature in kelvin
Keq= equilibrium constant

How well did you know this?
1
Not at all
2
3
4
5
Perfectly
6
Q

What is the equation to get Gibbs free energy from the reaction quotient?

A

∆G°rxn = standard free energy
R= the ideal gas constant
T= temperature in kelvin
Keq= equilibrium constant
Q= reaction quotient.

How well did you know this?
1
Not at all
2
3
4
5
Perfectly
7
Q

What is the equation for the enthalpy of bond dissociation?

A

ΔH°rxnrxn = Σ ΔHproducts − Σ ΔH reactants

How well did you know this?
1
Not at all
2
3
4
5
Perfectly
8
Q

What is the specific heat of water? Liquid?

A

1 (cal)/(gram x Kelvin)

or

4.186 J (g K)

How well did you know this?
1
Not at all
2
3
4
5
Perfectly
9
Q

How do you calculate the Equilibrium constant? Keq

A

[C,D,A,B] are the given concentrations, moles/L, while c,d,a,b (exponents) are the moles

***This is NOT the rate of the reaction, where we need to find the rate empirically. Instead, we can find equilibrium by this formula using the moles to guide us.

How well did you know this?
1
Not at all
2
3
4
5
Perfectly
10
Q

What is the rate law equation?

A

rate law = k [A]x[B]y

x & y are NOT a and b.
They must be determined empirically.
So they will give you an example of concentrations, and then changes in the product, and you will determine x and y from that
x= 0 (no change in concentration), x=1 (product doubles if concentration doubles), x=2( if reactant increases by 2, the product quadruples)

How well did you know this?
1
Not at all
2
3
4
5
Perfectly
11
Q

What is the equation of the first law of thermodynamics?

A

∆U= Q – W

∆U = change in the internal energy of the system
Q= heat added to the system
W= work done

How well did you know this?
1
Not at all
2
3
4
5
Perfectly
12
Q

What is the equation for the enthalpy of bond dissociation?

enthalpy = heat

A

ΔH°rxnrxn = Σ ΔHproducts − Σ ΔH reactants

How well did you know this?
1
Not at all
2
3
4
5
Perfectly
13
Q

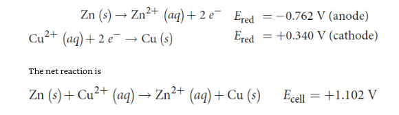
How is EMF (E°cell) calculated?

A

The EMF is calculated by
EMF (E°cell)= E°red cathode - E°red anode

If EMF/E°cell is +, it is spontaneous
If EMF/E°cell is -, it is not spontaneous (electrolytic cell)

How well did you know this?
1
Not at all
2
3
4
5
Perfectly
14
Q

What is the standard electromotive force (EMF), and how does this relate to the Standard reduction potential?

This assumes standard conditions (298 K, 1 atm, and 1M concentrations)

What is the equation?

A

Standard EMF (E°cell) is the difference between the reduction potential of two half reactions in the battery.

If the difference is Positive, it will occur spontaneously (galvanic).

If the difference is negative, it will not be spontaneous and require energy (electrolytic)

How well did you know this?
1
Not at all
2
3
4
5
Perfectly
15
Q

What is the equation that describes the relationship between ∆G° and EMF (electromotor force) ?

Assuming standard conditions.

A

∆G°= -nFE°cell

∆G°= standard change in free energy
n= number of moles of electrons
F= faraday constant= 1F= 96,485 C
cell= EMF of the cell

Important= if Faraday Constant is expressed in coulombs, then ∆G must be expressed in J, not kJ

How well did you know this?
1
Not at all
2
3
4
5
Perfectly
16
Q

What is the Nernst equation, and what is it used for?

A

describes the relationship between the concentration of species in a solution under non-standard conditions and the electromotive force.

NON-STANDARD conditions is the key here.

Ecell=EMF under nonstandard conditions
cell= emf of the cell under standard conditions
R= ideal gas constant
T= temperature, in Kelvin
n= number of moles
F= farady constant= 1F= 96,485 C
Q= reaction quotient for the reaction at a given point in time (remember, don’t include solids or pure liquids

17
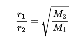
Q

Graham’s Law describes the behavior of gas diffusion or effusion, stating that gases with lower molar masses will diffuse or effuse faster than gases with higher molar masses at the same temperature.

What is the equation?

A

r1 and r2 are the diffusion rates of gas 1 and 2

M1 and M2 are the molar masses of gas 1 and gas 2

18
Q

What is the equation to calculate the speed of a gas particle?

A

U= speed
R= ideal gas constant= 8.314 (J)/(mol x K)
T= temperature (K)
M= molar mass

19
Q

What is the equation for percent composition by mass?

20
Q

How is molarity calculated?

A

Molarity (M)= moles of solute/ liters of solution

21
Q

If you wanted to find the concentration of a solution after diluting one, what equation would you use?

22
Q

What is the equation for vapor pressure depression? or Raoult’s Law?

A

The presence of other solutes decreases the evaporation rate of a solvent without affecting its condensation rate, thus decreasing its vapor pressure

Pa=XaPa°

Pa= the vapor pressure of solvent A when the solutes are present
Xa = is the mole fraction of the solvent A in the solution (moles solvent/total moles (solvent + solute)
Pa°= the vapor pressure of solvent A in its pure state.

The presence of the solute molecules can block the evaporation of solvent molecules but not their condensation.

23
Q

What’s the equation for boiling point elevation when there’s a solute added to the solvent?

A

∆Tb= iKbm

∆Tb= increase in boiling point

i= van’t Hoff Factor =corresponds to the number of particles into which a compound dissociates in a solution, for example, NaCl= 2, because NaCl dissolves into Na and Cl. Molecules like sugar do not dissociate so have a value of 1

Kb= proportionality constant of a particular solvent

m=molarity of solution

24
Q

What is the equation for freezing point depression?

A

∆Tf= iKfm

∆Tf= increase in freezing point

i=van’t Hoff Factor =corresponds to the number of particles into which a compound dissociates in a solution, for example, NaCl= 2, because NaCl dissolves into Na and Cl. Molecules like sugar do not dissociate so have a value of 1

Kf= proportionality constant of a particular solvent

m=molarity of solution

25
What is the Faraday's constant equation? I.e. tells you how many moles of something will be produced using electricity?
26
What is the **mathematical relationship** between Ka, Kb, and KKw?
Ka x Kb = Kw
27
What is the Henderson-Hasselbalch Equation and what it is its purpose?
It us used to estimate the pH or pOH of a buffer solution [A-]= concentration of the conjugate base [HA]= concentration of the weak acid
28
**How do you figure out the pH when you have a decimal with number?** i.e. What is the pH of a solution with a concentration of hydrogen atoms of 3 x 10-4?
pH=m-log(n) **pH= n x 10m** p[OH or H]= m-0.n pH= 4-0.3= 3.7
29
What is the equation to get ∆G from the Keq?
∆G=-RTlnKeq If Keq is < 1, lnK will be positive, making ∆G negative. If Keq is > 1, lnK will be negative, making ∆G negative (note the double negative).