1. forelæsning Flashcards

(34 cards)

1
Q

Oxoniumion/hydronium:
Formel, hvornår og hvorfor dannes de

A

Oxonium opstår, så snart syre bliver opløst vand. De H+-ioner (hydroner) som syren frigiver, kan ikke eksistere i fri tilstand.

How well did you know this?
1
Not at all
2
3
4
5
Perfectly
2
Q

Vand autohydronolyse:
Hvordan ser reaktionen ud, sig hvad du kan

A

Vand dissocierer spontant til hydronium og hydroxid-ioner (OH-), under ligevægten beskrevet. OH- ionens basevirkning, afbalancerer syrevirkningen fra hydronium’et, og pH holdes neutralt.

How well did you know this?
1
Not at all
2
3
4
5
Perfectly
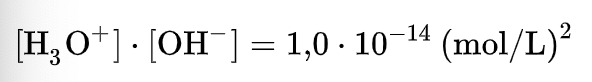
3
Q

Vands ionprodukt: Formel, hvad kan den bruges til

A

Under standardbetingelser har vands ionprodukt værdien beskrevet. Kender du den ene værdi, kan du udregne den anden.

How well did you know this?
1
Not at all
2
3
4
5
Perfectly
4
Q

Angiv sammenhængen mellem stofmængde i g, antal mol, og molvægt

A

n=antal mol
m=stofmængden i g
M_w=molvægt (g/mol)

How well did you know this?
1
Not at all
2
3
4
5
Perfectly
5
Q

Hvad er enheden for den molære koncentration c?

A

mol/liter. Stort M

How well did you know this?
1
Not at all
2
3
4
5
Perfectly
6
Q

Neutralisering af stærk syre med en stærk base:
formel

A

Husk at der skal tilsættes samme antal mol syre som base

How well did you know this?
1
Not at all
2
3
4
5
Perfectly
7
Q

Amino kemisk formel

A
How well did you know this?
1
Not at all
2
3
4
5
Perfectly
8
Q

Aldehyd formel:

A
How well did you know this?
1
Not at all
2
3
4
5
Perfectly
9
Q

Carboxyl formel:

A
How well did you know this?
1
Not at all
2
3
4
5
Perfectly
10
Q

Hydroxyl/alkohol formel:

A
How well did you know this?
1
Not at all
2
3
4
5
Perfectly
11
Q

Methyl formel:

A
How well did you know this?
1
Not at all
2
3
4
5
Perfectly
12
Q

Keton formel:

A

R skal være carbon, men kan være forskellige grupper

How well did you know this?
1
Not at all
2
3
4
5
Perfectly
13
Q

Benævn

A

Alken (dobbelbinding mellem carbon)

How well did you know this?
1
Not at all
2
3
4
5
Perfectly
14
Q

Benævn

A

Ester

How well did you know this?
1
Not at all
2
3
4
5
Perfectly
15
Q

Enkeltbinding mellem carbon:

A

Alkan

How well did you know this?
1
Not at all
2
3
4
5
Perfectly
16
Q

triplebinding mellem carbon:

17
Q

Benævn, er højere stærkere eller lavere

A

Syrestyrkekonstanten, jo højere jo stærkere syre

18
Q

Benævn, blablabla

A

Syrestyrkeeksponenten, jo lavere jo stærkere

19
Q

Hydrolyse

20
Q

Benævn alle 3:

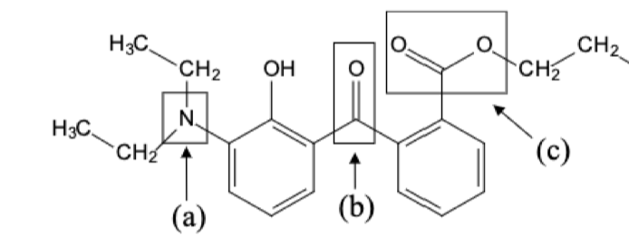
23
Q

Opgave b

24
Q

Angiv formlerne for hhv. svag syre, og stærk syre

25
Angiv funktionelle grupper
26
Giv en definition på en syre og en base:
Tæl hydrogenerne på hvert stof før og efter reaktion: Er antallet af hydrogener faldet er det ens syre (donerer hydrogenioner), er antallet af hydrogener stiget=base
27
Venstre gruppe:
28
Benævn gruppe:
Tertiær amin
29
Benævn gruppe:
Methan
30
Benævn
2-propanol
31
Benævn:
Ethanal
32
Benævn:
Methansyre
33
34
Bindinger og kogepunkt: