F9 Flashcards

(20 cards)

1
Q

Benævn

A

fosfodiester

How well did you know this?
1
Not at all
2
3
4
5
Perfectly
2
Q

Benævn:

A

2-deoxyribose (sukkerenhed)

How well did you know this?
1
Not at all
2
3
4
5
Perfectly
3
Q

Forskel på nukleotid og nukleosid:

A

Nukleotidet består af base, 2-deoxyribose og fosfodiester
Nukleosidet mangler fosfodiester

How well did you know this?
1
Not at all
2
3
4
5
Perfectly
4
Q

Hvad kalds baserne i DNA, hvad inddeles de i, hvad går sammen, og deres navne

A

Adenine (A)-Thymine(T)
Guanine (G)-Cytosine(C)

How well did you know this?
1
Not at all
2
3
4
5
Perfectly
5
Q

Navngivning af nukleotider og baser:

A

For RNA:
nukleosidnavnet, plus antal phosphatgrupper. Eksempel:
ADP=Adenosine diphosphate

For DNA: Tilføjer deoxy foran, eks:
dATP=deoxyadenosine triphosphate

How well did you know this?
1
Not at all
2
3
4
5
Perfectly
6
Q

Hvilken ladning har sukker-phospat backbone?

A

negativt ladet

How well did you know this?
1
Not at all
2
3
4
5
Perfectly
7
Q

Hvad menes der med Watson-Crick basepar?

A

Den specifikke baseparring gør de 2 strenge komplementære. Den ene kan bruges som template for den anden

How well did you know this?
1
Not at all
2
3
4
5
Perfectly
8
Q

Hvor mange hydrogenbindinger holder hhv. A-T og C-G sammen?

A

A-T=2 hydrogenbindinger
C-G=3 hydrogenbindinger

How well did you know this?
1
Not at all
2
3
4
5
Perfectly
9
Q

Hvorfor er der altid samme afstand mellem backbone i de 2 DNA-strenge?

A

Fordi der parres en pyrimidin og en purin=2 cykliske ringe overfor 1 cyklisk ring

How well did you know this?
1
Not at all
2
3
4
5
Perfectly
10
Q

Hvilke 2 ting kan en DNA-streng fungere som template for?

A

Både en DNA-streng, og en komplementær RNA-streng

How well did you know this?
1
Not at all
2
3
4
5
Perfectly
11
Q

Hvad menes der med antiparallelle strenge?

A

At de 2 DNA-strenge løber hver sin retning. 5’C på den ene streng, overfor 3’-C på den anden

How well did you know this?
1
Not at all
2
3
4
5
Perfectly
12
Q

Hvad får DNA-strengene til at sno som dobbelthelix?

A

Base stacking:
Van der Waals kræfter, samt hydrofobiske interaktioner.

How well did you know this?
1
Not at all
2
3
4
5
Perfectly
13
Q

Definer nukleosom:

A

8 histonproteiner hvor cirka 147 nukleotid par er viklet cirka 1,7 gange rundt om

Histoner er relativt positivt ladet, som gør at vi neutraliseret nogle af de negative ladninger i DNA-molekylet, så de kan pakkes tættere sammen

How well did you know this?
1
Not at all
2
3
4
5
Perfectly
14
Q

Definer kromatin:

A

Nukleosomer i et større billede.
“beads on a string”

How well did you know this?
1
Not at all
2
3
4
5
Perfectly
15
Q

30 nm fibre:

A

Andet niveau af kromosompakning.

How well did you know this?
1
Not at all
2
3
4
5
Perfectly
16
Q

Hvad menes der med gener?

A

Informationen i kromosomerne aflæses i enheder kaldet gener. Et gen er typisk ophav til 1 protein

17
Q

Hvilke 3 ting især, kendetegner RNA sammenlignet med DNA?

A

Uracil i stedet for thymine
Ribose i stedet for deoxyribose
RNA er som regel enkelt strenget

Bonus:
RNA danner sekundær og tertiære strukturer, i f.eks. loops
De 3 dominerende typer af RNA:
mRNA, rRNA, tRNA

18
Q

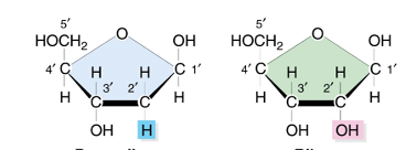
Hvad er ribose, hvad er deoxyribose?

19
Q

Kort forklaring af de 3 typers RNA’s funktion: