1 Research Methods Flashcards

(127 cards)

1
Q

What is a laboratory experiment?

A

A scientific method that involves testing hypotheses by creating controlled conditions in a laboratory setting

How well did you know this?
1
Not at all
2
3
4
5
Perfectly
2
Q

What is a field experiment?

A

A scientific study that is conducted outside of a controlled laboratory setting, in a real world environment.

How well did you know this?
1
Not at all
2
3
4
5
Perfectly
3
Q

What is a quasi experiment?

A

Quasi experiment contain a naturally occurring IV, for example, a memory task with a group of clinically depressed people vs non depressed.

How well did you know this?
1
Not at all
2
3
4
5
Perfectly
4
Q

Lab experiment advantages?

A
  • very reliable as they are easily replicable due to the controlled nature.
  • has the ability to establish cause and effect
How well did you know this?
1
Not at all
2
3
4
5
Perfectly
5
Q

Disadvantages of lab experiment?

A
  • low ecological validity because they are conducted in an artificial study that does not reflect a real life setting.
How well did you know this?
1
Not at all
2
3
4
5
Perfectly
6
Q

Field experiment advantages?

A

Higher ecological validity as behaviour occurs in its own natural environment.

How well did you know this?
1
Not at all
2
3
4
5
Perfectly
7
Q

Field experiment disadvantages?

A

More difficult to replicate exactly as there are no controls

How well did you know this?
1
Not at all
2
3
4
5
Perfectly
8
Q

Advantage of quasi experiment?

A

Useful when it is unethical to manipulate the IV like the experiment with the memory test with depressed and non depressed people, it is unethical to control their mental health.

How well did you know this?
1
Not at all
2
3
4
5
Perfectly
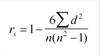
9
Q

Disadvantage of quasi experiment

A

Confounding variables are more likely = less reliable.

How well did you know this?
1
Not at all
2
3
4
5
Perfectly
10
Q

What are confounding variables?

A

Variables other than the independent variable that may affect results.

How well did you know this?
1
Not at all
2
3
4
5
Perfectly
11
Q

What is a structured observation?

A

When an observation takes place in a structured way, with behavioural categories decided upon beforehand, often using a coding frame

How well did you know this?
1
Not at all
2
3
4
5
Perfectly
12
Q

Advantages and disadvantages of a structured observation?

A

+ likely to produce quantitative which makes it easier to analyse and compare.
+smaller risk of observer bias so easier to establish inter-rater reliability.
- results aren’t as in depth and detailed.
- some behaviours the researcher records may not be important.

How well did you know this?
1
Not at all
2
3
4
5
Perfectly
13
Q

What is an unstructured observation?

A

When an observation is to take place without the pre defined plan and characteristics in advance.

How well did you know this?
1
Not at all
2
3
4
5
Perfectly
14
Q

Advantages and disadvantages of unstructured observations

A

+ more detailed results
- may be a greater risk of observer bias (no behavioural categories)
- produces qualitative data which is more difficult to analyse.

How well did you know this?
1
Not at all
2
3
4
5
Perfectly
15
Q

What is a naturalistic observation?

A

Involves observing subjects in their natural environment

How well did you know this?
1
Not at all
2
3
4
5
Perfectly
16
Q

Advantages and disadvantages of naturalistic observations

A

+ ecological validity - behaviour is natural so there are no demand characteristics
+ can be a useful way of developing ideas about behaviour that could be tested in more controlled conditions.
- extraneous variables
- ethics - should only conduct observations where people expect to be observed by strangers. Debriefing is difficult, getting informed consent can be tricky.

How well did you know this?
1
Not at all
2
3
4
5
Perfectly
17
Q

What is a controlled observation?

A

A research method where researchers watch participants in a contained environment under carefully controlled conditions, such as a laboratory

How well did you know this?
1
Not at all
2
3
4
5
Perfectly
18
Q

Advantages and disadvantages of a controlled observation

A

+ more accurate observations
+ easier to replicate - reliable
- low ecological validity
- demand characteristics

How well did you know this?
1
Not at all
2
3
4
5
Perfectly
19
Q

What is a participant observation

A

A research method where the researchers watching participants immerses themself in a particular social setting or group, observing the behaviours, interactions and practices of the participants.

How well did you know this?
1
Not at all
2
3
4
5
Perfectly
20
Q

Advantages and disadvantages of participant observations

A

+ high ecological validity
+ rich qualitative data can be obtained.
- observer may become too emotionally involved - too subjective
- cause and effect cannot be inferred.
- observer could influence the participants’ behaviours = reduces validity

How well did you know this?
1
Not at all
2
3
4
5
Perfectly
21
Q

What is a non participant observation

A

Involved observing participants from a distance without actively participating.

How well did you know this?
1
Not at all
2
3
4
5
Perfectly
22
Q

Advantages and disadvantages of non participant observations

A

+ observer may be more objective
+ observer can record observations as they occur - more reliable in terms of memory
+ no influence on behaviour
- actual meaning of the behaviour may not be clear from a distance
- relationship is not formed between the observer and observee - may be less trust.
- Can’t observe certain behaviours

How well did you know this?
1
Not at all
2
3
4
5
Perfectly
23
Q

What is an overt observation?

A

Where those being observed are aware of the fact.

How well did you know this?
1
Not at all
2
3
4
5
Perfectly
24
Q

What is covert observation?

A

Where the researcher goes “undercover”, the participants are unaware that they are being observed.

How well did you know this?
1
Not at all
2
3
4
5
Perfectly
25
What is a questionnaire?
A list of questions or items used to gather data from respondents about their attitudes or opinions
26
Advantages and disadvantages of questionnaires
+ large amount of data can be collected quickly and easily + since they can be done anonymously, responses are more likely to be honest. - questionnaires may be flawed if some questions are leading - social desirability issues may arise where participants give incorrect responses to try to put themselves in a socially acceptable light. - sample could be biased
27
What are interviews?
Self report techniques that involve experimenter asking participants questions verbally
28
Advantages and disadvantages of interviews
+detailed, qualitative information can be obtained + unstructured interviews may encourage the participant to be more honest with their answers - more time consuming than a questionnaire - self report data may be untrue
29
What is a structured interview?
A quantitive research method where the interviewer a set of prepared close ended questions asked in the same order for each participant.
30
What is an unstructured interview?
Where the interviewer may have a list of topics or questions, but has extra flexibility for the researcher to adapt rheir questions based on participants’ answers to lead the conversation further.
31
Obtaining data for correlational analysis
Gathering data to conduct a correlational study is very similar to self report techniques like interviews or tests, this can be used to find relationships with other types of data.
32
Positive correlation
When two variables move in the same direction - when one variable increases, the other does too.
33
Negative correlation
A relationship between two variables in which the value of one variable increases, the value of the other decreases.
34
No correlation
As the amount of one variable increases, the other decreases (and vice versa) there is no relationship between the two variables.
35
What is a correlation coefficient?
A number between -1 and 1 that tells how strong the relationship is
36
Correlation coefficient examples
- 0.0 to 0.3 is weak correlation - 0.3-0.7 is moderate correlation - above 0.7 is strong correlation - 0 is no correlation For example - +0.9 is strong positive correlation - -0.4 is moderate negative correlation
37
What is a research aim?
Identifies the purpose of the investigation - straightforward expression of what the researcher is trying to find out from conducting an investigation
38
Null hypothesis meaning
The hypothesis states that there is no difference between groups or no relationship between variables.
39
What is an alternative hypothesis
States that there is a relationship between the two variables being studied - opposite of null hypothesis
40
One tailed hypothesis (directional hypothesis) meaning
Points to what direction the effect will appear in for example, if we were studying whether students’ attendance affects their grades, one tailed hypothesis states that the students with higher attendance will have better grades than the students with lower attendance.
41
Two tailed (non directional) hypothesis
A two-tailed hypothesis predicts that the independent variable will have an effect on the dependent variable without specifying a direction.
42
Random sampling, advantages and disadvantages
sampling technique where every member of the target population has an equal chance of being selected. + highly representative, everyone has the same probability of being picked - minority subgroups may not be present in the sample
43
What does snowballing sampling mean? Advantages and disadvantages
A recruitment technique in which research participants are asked to assist researchers in finding further participants who meet the required criteria for the study + ability to reach smaller groups - such as finding people with Tourette’s - sample bias, people may recommend people who have similar characteristics result in lack of diversity.
44
Opportunity sampling meaning, and advantages and disadvantages
A sampling technique used to select participants from a target group to take part in a study. Consists of a researcher selecting anyone who is available and willing to take part in a study. + easy and inexpensive to carry out - may be unethical as participants may feel as though they have to take part - can be less representative
45
Self selected sampling meaning, advantaged & disadvantages
Sample consists of people who have volunteered to be in the study. + ethical as participants are willing to take part. - less representative as it may not reach all types of people, (people who are busy may ignore the opportunity to take part whereas uni students would more likely take part as they have more time.)
46
What is repeated measures design, advantages and disadvantages?
- repeated measures design is when the same participants are being tested under the same conditions. + no participant variables as the same people are being tested. - order effects are likely = practice effect and fatigue effect.
47
What is practice and fatigue effect?
- practice effect - participants perform a task better in later conditions because they had a chance to practice it. - fatigue effects - a decline in performed on a prolonged or demanding research task, the participant becomes bored or tired with the task.
48
What is independent measures design, advantages and disadvantages
independent measures design is when different groups do different conditions. + avoids order effects as participants do the conditions once, no chance to get better or bored. - participant variables are likely as the groups have different characteristics, makes it harder to compare performance.
49
What is matched participant design? Advantages and disadvantages
An experimental design where pairs of participants are matched in terms of key variables such as age, and IQ + may help to reduce participant variables if characteristics are similar - hard to match participants 100% as no one is the same, so participant variables still exist.
50
What is an operationalised IV and DV?
When the variables have been turned into something that can be measured, they become operationalised. For example, ‘Memory as measured by the number of items correctly recalled from a list after 5 minutes’
51
What are extraneous variables, how to control them?
Any variables other than the independent variable that may affect the dependent variable in some way. Example, temperature. If temperature is an extraneous variable that affects participants focus if they’re doing a memory recall, the temperature would have to be control so they dont potentially affect results.
52
Rating scales
- likert rating scale, semantic differential rating scale. - likert rating scale and semantic differential rating scale - rating things from maybe 1 to 5 for example. Quick and easy to do but lack detail - semantic differential rating scale -
53
Advantages and disadvantages of open questions
+ lots of detail - qualitative data - time consuming as participants may take time to write feedback
54
Advantages and disadvantages of closed questions?
+ collect quantitive data, easy to compare - less detail, may not accurately represent participants experience or opinions.
55
What are the measures of central tendency?
Mode, median, mean
56
What are the measures of dispersion?
Variance, range, standard deviation
57
What is nominal level data?
Data which can be separated into discrete categories which do not overlap, for example male and female.
58
What is ordinal level data?
Data which can be placed into some kind of order or scale, for example rating happiness on a scale of 1 to 10
59
What is interval level data?
Data measures in fixed units with equal distance between points on the scale, for example, temperature measured in centigrade.
60
What is quantitative data, advantages and disadvantages
measures of values or counts that are expressed as numbers. + minimizes researcher bias and delivers clear, reliable data. -They are not good at capturing feelings.
61
What is qualitative data, advantages & disadvantages
Data representing information and concepts that are not represented by numbers. +detailed information - data collection is usually time consuming
62
Primary data meaning,example, advantages and disadvantages
Data collected for the first time through personal experiences or evidence.for example interviews surveys +Data collected is up to date, relevant and specific to research objectives - time consuming and take a long time to complete.
63
Secondary data, example, meaning, advantages and disadvantages
Data collected by someone else earlier. For example, the internet, hospital records. + easy to collect - outdated
64
What are behavioural categories, advantages and disadvantages
An observational technique wherein participants’ possible behaviours are separated into more specific components. +easier to record as there is a specific focus on certain behaviours - behaviours that may be important may be missed due to i not being part of the planned behaviours.
65
What are coding frames, advantages and disadvantages
Allow for more specific behaviours to be observed in a behaviour category. Codes and abbreviations can be used to record the severity of behaviours or a different sub type within a category. + allows researchers to perform statistical analysis on originally qualitative data - researchers can easily miss important data
66
What is time sampling, advantages and disadvantages
A data collection method during which a researcher records behaviours that occur during a time interval. For example observing a group of children every 5 minutes for 10 seconds. + observer has time to record what they’ve seen, easier to record - if an important event occurs outside the time intervals the researcher is paying attention to, the researcher misses out.
67
What is event sampling, advantages and disadvantages.
Involves observation of targeted behaviours or specific events. + behaviours wont be missed unlike time sampling - if too many observations happen at once, it may be difficult to record everything.
68
What is representativeness
A sample from a larger group that accurately represents the characteristics of a larger population
69
What is generalisability?
To what extent to which the findings of a study can be applied to other situations
70
What is internal reliability
The measure has consistency within itself
71
What is external reliability?
Ability of a test to yield the same results both over time and from each individual who takes it.
72
What is inter-rater reliability?
A measure of consistency and agreement between two or more observers in their assessments or judgements of a particular behaviour.
73
What is internal validity?
How well a study establishes a casual relationship between variables by minimising confounding variables.
74
What is external validity?
To the extent to which the study results can be generalised to other situations and populations.
75
What is population validity?
Whether the sample of people are representative of the wider population.
76
What is ecological validity?
A measure of how test performance captures real life behaviours in non-artificial situations that occur in the participants’ natural environments.
77
What are demand characteristics?
Cues that might indicate the study’s aims to the participants. This can lead to participants changing their behaviours to what they think the study is about.
78
What is social desirability?
When respondents give answers to questions that they believe will make them look good to others, concealing their true opinions or experiences.
79
What is researcher/observer bias?
When the researcher’s beliefs or expectations influence the research design or data collection process.
80
What is researcher/observer effects?
When a researcher unintentionally or unconsciously influences the outcome of any research they are conducting.
81
What are the ethical considerations, including the British psychology society’s code of ethics and conduct?
Respect - informed consent, right to withdraw, confidentiality Competence Responsibility - protection of participant, debrief Integrity - deception
82
What is falsification?
Principle that a proposition or theory could only be considered scientific if in principle it was possible to establish it as false.
83
What is replicability?
A study should produce the same results if repeated exactly, either by the same researcher or by another.
84
What is objectivity?
Based on facts and data and avoids bias.
85
What is induction?
The bottom up method - begins with specific observations ad uses them to develop a hypothesis
86
Deduction
A logical approach where are you progress from general ideas to specific conclusions. (Hypothesis first, observation after.)
87
What is hypothesis testing?
statistical tool that is used to identify if the results of an experiment is real or due to chance.
88
How do you control variables?
Holding them constant throughout a study. For example, controlling the room temperature in an experiment to ensure it does not affect results.
89
What is standardisation?
The process of making a test uniform or setting it to a specific standard.
90
What are the measures of central tendency?
Mode, mean,median
91
Describe Normal distribution curve and example
It looks like a bell curve. It is symmetric about the mean and indicates that values near the mean occur more frequently than the values that are farther away from the mean. And example of this would be an IQ test. Most people tend to have an IQ score between 85 and 115, and the scores are normally distributed
92
Skewed distribution
a statistical distribution where the data is not evenly spread and one side of the curve has a longer tail than the other, resulting in asymmetry
93
Positively skewed distribution and example
the tail extends to the right, and most of the data is clustered towards the lower end of the scale. This means there are more low scores and fewer high scores. Examples include income distribution
94
Negatively skewed distribution and example
the tail extends to the left, and most of the data is clustered towards the higher end of the scale. This means there are more high scores and fewer low scores. Examples include the number of applications completed before finding a job
95
Probability
Used to make generalisations about a population based on sample data. quantifies the likelihood of an event occurring.
96
Levels of significance
the threshold at which researchers determine if their results are statistically significant, meaning they are unlikely to have occurred by chance. (Usually 0.05 or 5%)
97
Interpreting p values
If the p-value is less than or equal to the significance level (p ≤ 0.05), the results are considered statistically significant. This means there's a low probability (less than 5%) that the results occurred by chance. A p-value more than the significance level (typically p > 0.05) is not statistically significant and indicates strong evidence for the null hypothesis.
98
What if the p value is less that 0.01
A p-value less than 0.01 suggests even stronger evidence against the null hypothesis.
99
Criteria for parametric tests
Normal distribution Equal variance Interval data
100
Why are parametric tests powerful?
if there is a difference in populations or a relationship between two variables, these tests are likely to find more information from the data.
101
When are non parametric tests carried?
- when the criteria for parametric tests can not be fulfilled When the distribution is not normal
102
Types of non parametric tests
▪ Mann-Whitney U Test ▪ Wilcoxon Signed Ranks test ▪ Chi-Square ▪ Binomial Sign Test ▪ Spearman’s Rho
103
Mann whitney U test
MOI Ordinal interval data Independent measures design When you are testing for a difference between conditions and you have ordinal data
104
Wilcoxon test
WOR Ordinal or interval data Repeated measures design When you are testing a difference between conditions and you have ordinal data
105
Chi square
CNI Nominal data Independent measures design
106
Bionomial sign test
BNR Nominal data Repeated measures design When you are looking for a difference between two conditions or groups
107
Spearman’s rho
SOC Only used for correlations Ordinal AND interval type of data
108
Type 1 errors
false positive, occurs when a statistical test incorrectly leads to the rejection of a true null hypothesis
109
Type 2 errors
a statistical term used to describe the error that results when a null hypothesis that is actually false is not rejected by an investigator or researcher
110
Test retest reliability
refers to the consistency of results when a test is administered to the same individuals at different points in time
111
Split half reliability
a method to assess the internal consistency of a test or measure by splitting it into two halves and comparing the scores on each half. It's a way to estimate how consistently different parts of a test measure the same construct.
112
Face validity
whether a test appears to measure what it's supposed to measure.
113
Construct validity
How well a test measures the concept it was designed to evaluate
114
Concurrent validity
assesses how well a new test or assessment compares with an existing, validated measure of the same construct, taken at the same time.
115
Criterion validity
assesses how well a test or measure correlates with an established benchmark or criterion, indicating its accuracy in measuring the outcome it's intended to measure.
116
What is an abstract in report writing
a brief, concise summary that highlights the purpose, methods, key findings, and conclusions of the report
117
Introduction in report writing
provides context, purpose, and an overview of the report's scope and structure
118
Sections in report writing
-abstract - introduction -method -results -discussion -references -appendices
119
What is in an appendices in report writing
consent forms, questionnaires, interview transcripts, raw data, statistical analyses, and detailed methodological descriptions.
120
Examples in Harvard referencing
Author Initials Year Title of the document Date
121
What is a peer review
a process where experts in the psychology field evaluate the quality and validity of a researcher's work, typically before it's published
122
How would you reduce demand characteristics?
Ask questions that are distracting or conceal the aim of the experiment
123
formula for Chi square
124
MANN WHITNEY U FORMULA
125
Wilcoxon how to do
- calculate difference between two scores by taking one from the other - rank the differences by giving the smallest difference rank 1. do not count those with a difference of 0. -add up ranks for positive differences and negative differences separately. - T is the figure that is the smallest when the ranks are totalled (may be negative or positive) N is the number of scores left, ignore those with a negative difference.
126
BBinomial Sign test formula
- put a plus or a minus sign to indicate the direction of the difference for each ptp. if its neither, they are omitted. - to calculate observed value, add up the no. times the less frequent sign occurs. - then look up the critical value of s in the critical value table.
127
spearmans rho formula