What is diffusion?
spreading of particles of a substance due to thermal motion.
How do we define a flux?
By defining the flow density of particles per second that gives the amount of chemical material that passes through a unit area in unit time. Its unit is mol /(m2∙s).
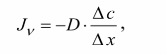
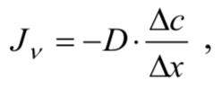
What is Fick’s first law?
the flow of particles per unit time across a unit area (flux) is proportional to the concentration drop
Where the coefficient D is the diffusion coefficient.
What is the concentration drop (concentration gradient)
where ∆c/∆x is the concentration change along a unit distance (along the x axis)
What is the relationship between the flow density of particles per second and the concentration drop?
the flow density of particles per second is proportional to the concentration drop
What is diffusion coefficient (D)
gives the amount of material diffused across a unit area in a unit time, driven by a unit concentration drop. The unit of the diffusion coefficient is m2/s.
What does the diffusion coefficient depend on?
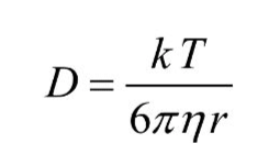
For spherical particles, how to calculate diffusion coefficient?
the diffusion coefficient can be calculated from the Einstein-Stokes formula as….
where r is the radius of the particle, n is the viscosity and T is the temperature of the medium.
What doesn’t the Fick’s 1st law take into account?
the possibility of temporal changes in concentration
What does Fick 2nd law state?
describes the spatial and temporal changes of the concentration as
If the spatial distribution of the concentration is known at a given time [c(x,t)], it gives the distribution at a later time t+t.
Determination of the diffusion coefficient
We will apply Fick’s second law to determine the diffusion coefficients of K+ and Cl– ions (together with their hydration shells, which are roughly the same).
What are the 3 things we need to suppose
Determination of the diffusion coefficient
We will apply Fick’s second law to determine the diffusion coefficients of K+ and Cl– ions (together with their hydration shells, which are roughly the same).
initially, the concentration is c0 everywhere inside the gel, and the area of the end faces is negligible compared to the cylinder jacket
→ What does this imply?
this implies diffusion in the radial direction, with cylindrical symmetry
Determination of the diffusion coefficient
We can see from the lin-log graph (Fig. 4) that, after a sufficiently long time after the beginning of the process, the change of the amount of the material as a function of time becomes ___.
exponential
Determination of the diffusion coefficient
We can see from the lin-log graph (Fig. 4) that, after a sufficiently long time after the beginning of the process, the change of the amount of the material as a function of time becomes exponential.
→ When does this transition to exponential behavior occur?
when the shape of the concentration distribution inside the gel stabilizes
→ the transport process occurs not only at the edges (near the cylinder jacket), but inside the gel (near the axis) as well
Determination of the diffusion coefficient
The gel contains KCl solution, and is surrounded by distilled water. During the diffusion process, K+ and Cl– ions move outward into the water, and make it a ___
conductor (electrolyte)
What is time constant of diffusion?
depends on the diffusion coefficient and on the radius of the gel

Name the parameters influencing the value of diffusion coefficient.
Size and shape of the particle as well as the temperature and viscosity of the medium
What diffuses faster: a potassium ion or a virus particle?
K+ ion due to smaller diffusion coefficient (smaller size)
Determination if diffusion-coefficient by image analysis
From the lin-log graph (Fig. 4) that,

The electrical resistance of a wire can be determined by the following formula ___
What is conductance?
The reciprocal of the resistance (G = 1/R)
The relationship between Conductivity of a dilute solution and the concentration of the solution.
Characteristics of The proportionality constant
Conductivity of a dilute solution is directly proportional to the concentration of the solution.
The proportionality constant is characteristic to the solute and characterizes the mobility of the ions in the solution. Thus, a___can be prepared (see Fig. 6), or the slope of the linear function can be given, and the concentrations corresponding to the measured conductivity values, or the amount of material in the given volume can be calculated.
calibration graph
It is possible to measure the amount of material inside the gel?
It is not possible to measure the amount of material inside the gel
→ but the amount of the material that has diffused out can be measured.
→ Thus, the amount that remained inside the gel can be determined.