5. Flow Flashcards

(39 cards)

1
Q

What is the volumetric flow rate (IV)

A

the volume (􏵺V ) of the fluid that flows through a cross-section of the tube in time 􏵺 ∆t.

Its unit is m3/s

How well did you know this?
1
Not at all
2
3
4
5
Perfectly
2
Q

The formula for volumetric flow rate (IV)

A

the volume (􏵺V ) of the fluid that flows through a cross-section of the tube in time 􏵺 ∆t.

Its unit is m3/s

  • A is the cross-sectional area of the tube 􏵺
  • ∆l is the average displacement of the fluid
  • v is the average speed at the given cross-section.
How well did you know this?
1
Not at all
2
3
4
5
Perfectly
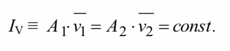
3
Q

What does continuity equation state?

A

in stationary flow of an incompressible fluid, the volumetric flow rate is the same at any point along the tube (i.e, the same volume flows through any cross section of the tube in the same time)

How well did you know this?
1
Not at all
2
3
4
5
Perfectly
4
Q

Is continuity equation true for gases? why?

A

NO!

In case of normally breathing in and out, air is not compressed, thus in this sense can be considered incompressible. Small pressure changes do not change the density of air significantly. However, for example, during cough, as a consequence of larger pressure changes the air is compressed.

How well did you know this?
1
Not at all
2
3
4
5
Perfectly
5
Q

What is the formula for continuity equation?

A

According to this equation, if a fluid flows in a tube that varies in cross-sectional area, the same volume flows through any cross section of the tube in the same time

How well did you know this?
1
Not at all
2
3
4
5
Perfectly
6
Q

What is VISCOSITY (􏶐n)?

A

A coefficient that characterizes the internal friction of fluids and gases.

Its value is greater for fluids that flow less easily.

It depends on the material and its temperature.

The unit of viscosity is Pa∙s.

How well did you know this?
1
Not at all
2
3
4
5
Perfectly
7
Q

Does fluids of different viscosity flow through the openings of the same cross- section with same velocity?

A

Fluids of different viscosity flow through the openings of the same cross- section with different velocity.

How well did you know this?
1
Not at all
2
3
4
5
Perfectly
8
Q

What is Newtonian fluid?

A

The fluid is Newtonian if its viscosity does not depend on the shear stress or spatial velocity change. Water is a Newtonian fluid.

How well did you know this?
1
Not at all
2
3
4
5
Perfectly
9
Q

Describe streamlines?

A
  • They visualize the flow of fluid
  • They highlight the local direction of flow
How well did you know this?
1
Not at all
2
3
4
5
Perfectly
10
Q

What is laminar flow?

A

At small flow velocities, fluid flows in layers (lamina) that do not mix.

The directions of the velocities of the particles composing the fluid are parallel with that of the flow.

How well did you know this?
1
Not at all
2
3
4
5
Perfectly
11
Q

What is turbulent flow?

A

Above a critical flow velocity, the fluid layers mix, thereby forming complex swirls and eddies.

The directions of particle velocities have components orthogonal and parallel to the flow velocity.

How well did you know this?
1
Not at all
2
3
4
5
Perfectly
12
Q

What is Hagen-Poiseuille law?

A

Equations that describe stationary laminar flow of Newtonian fluids in rigid tubrd.

The volumetric flow rate is directly proportional to the pressure drop

How well did you know this?
1
Not at all
2
3
4
5
Perfectly
13
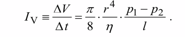
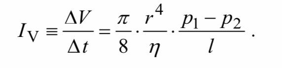
Q

What is the formula for Hagen-Poiseuille law?

A

The volumetric flow rate (IV = 􏵺∆V/􏵺 ∆t) is directly proportional to the pressure drop (􏵺 ∆p) that maintains the flow.

The proportionality factor is the reciprocal value of the resistance to flow (Rflow).

How well did you know this?
1
Not at all
2
3
4
5
Perfectly
14
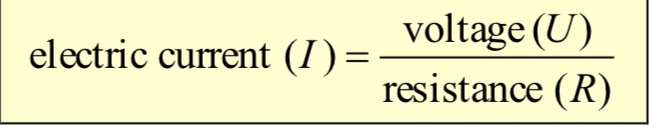
Q

What is the formula for electric current?

A
How well did you know this?
1
Not at all
2
3
4
5
Perfectly
15
Q

The relationship between volumetric flow rate and the pressure drop

A

the volumetric flow rate is directly proportional to the pressure drop

How well did you know this?
1
Not at all
2
3
4
5
Perfectly
16
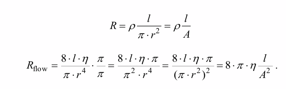
Q

What is resistance to flow (resistance of tube)?

A

Directly proportional to the length of the tube (l ), viscosity of the fluid (􏶐) and inversely proportional to the fourth power of the radius of the tube (r), thus the square of the cross-sectional area (A).

17
Q

The relationship between resistance to flow and the square of the cross-sectional area

A

the resistance to flow is inversely proportional to the square of the cross-sectional area

(=> Therefore, even a little change in the radius of the blood vessels changes significantly the resistance to flow, and hence the volumetric flow rate)

18
Q

The flow of blood in the circulatory system

What do we assume about vessels in the flow model?

A

we supposed that every vessel of one type is of the same length and diameter, thus they have the same resistance to flow

19
Q

The flow of blood in the circulatory system

How to calculate the the equivalent resistance of the given vessel type?

A

we supposed that every vessel of one type is of the same length and diameter, thus they have the same resistance to flow

20
Q

The flow of blood in the circulatory system

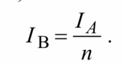
How do we obtain the value of the electric current in one vessel?

A

The main current divided by the number of vessels (n)

21
Q

The flow of blood in the circulatory system

The total pressure drop of the electric model is equal to ___

A

the electromotive force U0

U0 =UA+UB+UC+UD

Δp0 pApBpCpD

22
Q

What is the principle of the electric model of the vascular system?

A

the similarity between Ohm’s law and the Hagen-Poiseuille law

23
Q

the Hagen-Poiseuille law is only valid for…

A

Newtonian fluid

Stationary laminar flow

Rigid tubes

24
Q

What is Windkessel effect?

A

Role of elasticity of the blood vessel walls

25
the flow of blood differs because of some important features. What are the 2 features?
* First, **blood flow is pulsed** * Second, the **walls of the blood vessels** are not rigid, but **elastic**. * → the pulsating pressure waves caused by the heart are damped to some extent * → Furthermore, the maintenance of steady flow and high volumetric flow rate is assisted by the blood-vessel elasticity
26
State newton's friction law
the shear stress between adjacent ***fluid*** layers is proportional to the velocity gradients between the two layers.
27
Viscosity of distilled water
Viscosity of distilled water (25 ̊C): 1 mPas (1 centipoise)
28
Types of flow according to viscosity
1. Ideal 2. Non-ideal (real)
29
State Stokes law
Frictional force is proportional with the velocity (Stoke's Law states that the force that retards a sphere moving through a viscous fluid is directly proportional to the velocity and the radius of the sphere, and the viscosity of the fluid.)
30
Bernoulli’s law
in a steady flow, the sum of all the energy in a fluid along a streamline is the same everywhere on the streamline.
31
Medical significance of fluid flow laws
regulation of the intensity of blood flow (Hagen-Poiseuille’s law) → Fig. 5. Even little change of the diameter Physiological regulation of the blood flow depending on the needs of tissues/organs
32
2 Flow conditions in the arterial system
* Pulsatile flow * Elastic arterial wall
33
6 parameters affecting the blood flow
1. Hematocrit 2. Plasma viscosity 3. Plasticity of RBC 4. Aggregation of RBC 5. Flow rate, velocity gradient 6. Blood vessel diameter
34
6 parameters affecting the blood flow → Hematocrit
the ratio of the volume of red blood cells to the total volume of blood.
35
6 parameters affecting the blood flow → ***Plasma viscosity***
* Depends on plasma proteins. * In *paraproteinaemias* (e.g. myeloma multiplex or plasmocytoma) the concentration of immunoglobulins is high, leading to increased viscosity.
36
6 parameters affecting the blood flow → ***Plasticity of red blood cells***
37
6 parameters affecting the blood flow → ***Aggregation of red blood cells***
* Stack or roleaux formation. * More pronounced at low flow rates
38
6 parameters affecting the blood flow → Flow rate, velocity gradient
As the total cross-sectional area of the vessels increases, the velocity of flow decreases.
39
6 parameters affecting the blood flow → ***Blood vessel diameter***
* With a decrease of vessel diameter, the non-Newtonian behavior of blood becomes more pronounced * Axial migration, the RCBs line up in the axis of the vessel (Bernoulli's law) * The velocity decreases in the axis, but increase near the vessel wall * → Increase in velocity gradient decreases apparent viscosity (Fahraeus-Lindquist effect)