What is the normal ventilation perfusion ratio?
1 = Optimal
What is the commonest cause of hypoxaemia?
Ventilation Perfusion mismatch
What happens when pulmonary artery capillaries pO2 and pCO2 fall?
O2: Hypoxic vasoconstriction to divery blood to better ventilated alveoli
CO2: bronchoconstriction to divert air to better perfused lung
What are some causes of inadequate ventilation and therefore a ventilation perfusion mismatch?
V/Q <1 so hypoxia

What happens when V/Q falls below 1 to compensate?
Hyperventilation - increases CO2 removal but not O2 as oxygen is fully saturated at 13.3kPa and CO2 does not need a mismatch

What does shunting in the blood mean?
Still perfusion but no ventilation
What are some causes of inadequate perfusion and therefore a ventilation perfusion mismatch?
- Pulmonary embolism
If there is a PE in the left upper lobar artery, what causes hypoxia in the circulation?
V/Q mismatch in right lung and left lower lobe
Why might you do lung function tests?

What equipment do we use for spirometry?
Vitalograph (electronic)
Should a patient be seated or standing when measuring their FVC?
Seated as although higher in standing the high intrathoracic pressure can reduce cardiac output and cerebral blood flow so might faint

How does a non-electronic bell jar spirometer work?

Label the following parameters on a spirogram:


How do you work out the following:
IC: (Tidal volume + IRV) or (TLC - FRV)
FRC: ERV + RV

Define the following terms:

What can forced flow-volume measurements tell us?
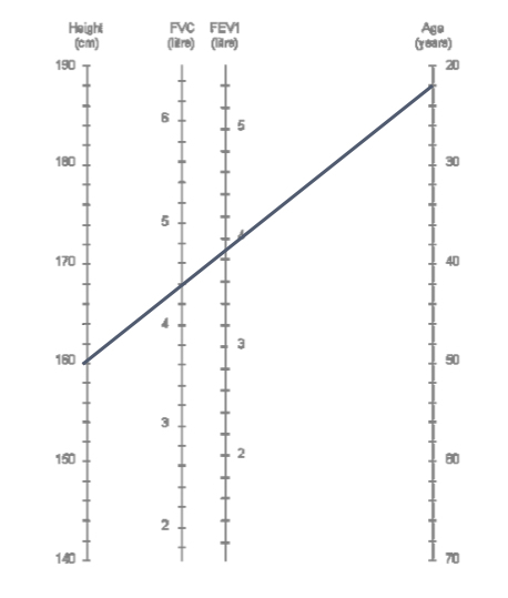
How can we predict FVC in a patient?

How does a time-volume graph differ from a spirogram?

What does a volume-time graph look like in an obstuctive respiratory disease, give some examples of these and what are the parameters for FEV1 and FVC?

What does a volume-time graph look like in a restrictive respiratory disease, give some examples of these and what are the parameters for FEV1 and FVC?

What does a flow volume loop look like?

What does a flow volume loop look like in obstructive and restrictive respiratory disease?
- Obstructive: scalloping concave shape as small airways narrower. Give bronchodilator and will go normal
- Restrictive: tall and narrow as vital capacity lower but PEF fine as large airways not impacted

What is the difference between the two obstructive diseases of asthma and COPD on a flow-volume loop?
More scalloping on COPD and now improvement after bronchodilator administration

What will a laryngeal polyp or tracheal stenosis do to a flow volume loop?
