Vector equation of a line in R3
r = r0 + tv

Parametric equations of a line in R3
x = x0 + at
y = y0 + bt
z = z0 + ct
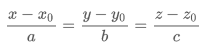
Symmetric equations of a line in R3

Vector equation of a plane

Scalar equation of a plane

Linear equation of a plane
ax + by + cz + d = 0
Lines that do not intersect and are not parallel
Skew lines
How to show that lines are not skew.
Show that the direction vectors aren’t parallel.
Show that there are no intersections by setting each component of their parametric equations equal to each other.
What do you need to find the equation of a plane?
Point and normal vector
What do you need to find the equation of a line?
point and direction vector




The angle between the normal vectors of 2 planes is equal to…
The angle between the planes
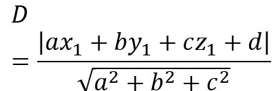
Distance from a point to a plane formula



What is the distance from a point to a plane in terms of projection?

Colinear vectors…
Lie on the same line
Equation of line segment joining 2 points
r(t) = (1-t)r0 + tr1