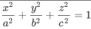
Ellipsoid Equation

Cone Equation

Elliptic Paraboloid Equation

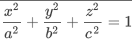
Hyperboloid of One Sheet Equation

Hyperbolic Paraboloid Equation

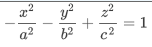
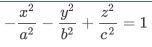
Hyperboloid of Two Sheets Equation

Name?

Ellipsoid
Name?

Cone
Name?

Elliptic Paraboloid
Name?

Hyperboloid of One Sheet
Name?

Hyperbolic Paraboloid
Name?

Hyperboloid of Two Sheets
Name?

Ellipsoid
Name?

Cone
Name?

Elliptic Paraboloid
Name?

Hyperboloid of One Sheet
Name?

Hyperbolic Paraboloid
Name?

Hyperboloid of Two Sheets
Ellipse Equation

Name?

Ellipse
Length of Ellipse major axis
2a
Length of Ellipse minor axis
2b
Ellipse: Distance from center to foci
c
Ellipse: Equation for “c”
