13 - Quantum physics Flashcards

(10 cards)

1
Q

What is the relationship between photon energy and frequency?

A

Photon energy ∝ Frequency;
E = hf
where E = Photon energy (J)
h = Planck’s constant (Js)
f = Frequency (Hz)

How well did you know this?
1
Not at all
2
3
4
5
Perfectly
2
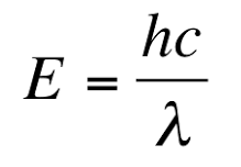
Q

Describe another way to express the energy of a photon.

A

The energy of a photon can be expressed in terms of it’s wavelength and c (speed of light through a vacuum).

How well did you know this?
1
Not at all
2
3
4
5
Perfectly
3
Q

What is the energy of 1 electronvolt?

A

The energy of 1 electronvolt is defined as the energy transferred to or from an electron travelling through a potential difference of 1 V.

How well did you know this?
1
Not at all
2
3
4
5
Perfectly
4
Q

How do you convert between J to eV?

A

To convert from J to eV, divide by 1.6 x 10⁻¹⁹

To convert from eV to J, multiply by 1.6 x 10⁻¹⁹

How well did you know this?
1
Not at all
2
3
4
5
Perfectly
5
Q

What are the three key observations of the photoelectric effect?

A
  • Photoelectrons were emitted only if the incident radiation was above a certain frequency (f0 - threshold frequency), regardless of the radiation intensity.
  • If the incident radiation was above the f0, emission of photoelectrons was instant.
  • If the incident radiation was above the f0, increasing the intensity did not change photoelectron kinetic energy, but increased the quantity of electrons emitted. The only way to increase the kinetic energy is to increase the incident radiation frequency.
How well did you know this?
1
Not at all
2
3
4
5
Perfectly
6
Q

What is Ionisation?

A

When an atom loses an orbiting electron (and becomes charged because protons > electrons), making it a positive ion.

How well did you know this?
1
Not at all
2
3
4
5
Perfectly
7
Q

What is Excitation?

A

An electron is raised to a higher energy level but remains within the atom.

How well did you know this?
1
Not at all
2
3
4
5
Perfectly
8
Q

What is the ground state?

A

The lowest energy level of an atom.

How well did you know this?
1
Not at all
2
3
4
5
Perfectly
9
Q

What is the Excited state?

A

When one or more of an atom’s electrons moves to an outer shell at higher energy.

How well did you know this?
1
Not at all
2
3
4
5
Perfectly
10
Q

State what is meant by a photon.

A

A photon is a packet of electromagnetic radiation, the energy of which is directly proportional to it’s frequency.

How well did you know this?
1
Not at all
2
3
4
5
Perfectly