2 PAHs Flashcards

(25 cards)

1
Q

what are PAHs?

A

-PAH=polycyclic aromatic hydrocarbons or polynuclear aromatic hydrocarbons or polyaromatic hydrocarbons
-composed of different numbers of fused 6-carbon (benzene) aromatic rings
- >100 different PAHs currently exist
-ubiquitous environmental contaminants

16 priority PAHs
-more rings=more lipophilic

How well did you know this?
1
Not at all
2
3
4
5
Perfectly
2
Q

what is Clar’s rule (pi-sextet rule)?

A

-more aromatic pi-sextet=more stable
-other rings less stable

How well did you know this?
1
Not at all
2
3
4
5
Perfectly
3
Q

what are the sources of PAHs?

A

combustion of organic materials. Ex:
-industrial (e.g. smelting, refining, flare, gas)
-domestic (e.g. municipal incinerators)
-motor vehicle exhaust
-forest fires
-tobacco
-barbeques

the major source of PAHs in north america is burning of wood in residential fireplaces

How well did you know this?
1
Not at all
2
3
4
5
Perfectly
4
Q

what is the major toxicological concern of PAHs?

A

several PAHs are carcinogenic as a result of metabolic activation
-list of 16 priority PAHs has been developed by US EPA and is routinely used for monitoring
-BaP is the prototype PAH because of its high carcinogenic potential

How well did you know this?
1
Not at all
2
3
4
5
Perfectly
5
Q

what is the mechanism of action of PAHs?

A
  1. non-polar necrosis
  2. activation of the AhR
  3. bioactivation to ultimate carcinogens
  4. bioactivation to quinone structures and generation of reactive oxygen species (ROS)
How well did you know this?
1
Not at all
2
3
4
5
Perfectly
6
Q

what is non-polar necrosis?

A

a) nonspecific, reversible binding of nonpolar (lipophilic) chemicals to lipid bilayer of animal cell membranes
b) altered fluidity of cell membranes leads to loss of selective permeability of ions (esp Na+)

How well did you know this?
1
Not at all
2
3
4
5
Perfectly
7
Q

what is the activation of AhR?

A

-similar to HAHs, many PAHs can bind to AhR and cause pleiotropic responses
-BUT: PAHs aren’t as persistent as HAHs, so this mechanism isn’t as important

How well did you know this?
1
Not at all
2
3
4
5
Perfectly
8
Q

what is bioactivation to ultimate carcinogens?

A

-PAHs are extensively (easily) biotransformed by CYP enzymes to many different metabolites

phase I:
-epoxides commonly found
-epoxides are metabolized rapidly to dihydrodiols by epoxide hydrolase

phase II:
-dihydrodiols are conjugated and excreted in bile
-conjugated with glutathione

How well did you know this?
1
Not at all
2
3
4
5
Perfectly
9
Q

what is the bioactivation of BaP?

A

-bioactivation of BaP to ultimate carcinogen requires two CYP1A1-catalyzed epoxidations
-these “bay-region diol-epoxides” are the tumourgenic metabolites of many PAHs
-the ultimate BaP carcinogen (7,8-diol-9,10-epoxide) covalently binds to the DNA base guanine
-guanine is the most common target for covalent binding of electrophiles to DNA

How well did you know this?
1
Not at all
2
3
4
5
Perfectly
10
Q

what does covalent binding to DNA of Bap result in?

A

tumor
-the BaP adduct prevents normal pairing of guanine with cytosine, resulting in mismatched pairing with adenine and a base transversion mutation

-DNA is not transcribed correctly
-leads to mutation (P53)
-loss of growth control
-tumor development

How well did you know this?
1
Not at all
2
3
4
5
Perfectly
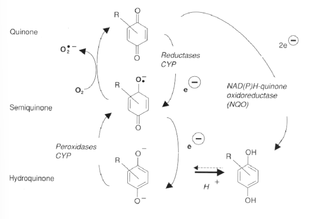
11
Q

what is the background of bioactivation to quinone structure and generation of ROS?

A

oxidative stress, a key toxicological mechanism of action
-imbalance between oxidizing molecular species (ROS) and presence of cellular antioxidants (e.g. glutathione, vitamin E)

-involved in direct cell injury and cell signaling
-created by UV radiation and enzymatic reactions (e.g. CYP, reductases)

How well did you know this?
1
Not at all
2
3
4
5
Perfectly
12
Q

what is redox cycling?

A

quinones

How well did you know this?
1
Not at all
2
3
4
5
Perfectly
13
Q

how does BaP become ROS?

A
How well did you know this?
1
Not at all
2
3
4
5
Perfectly
14
Q

what is so bad about ROS?

A

ROS cause toxicity

How well did you know this?
1
Not at all
2
3
4
5
Perfectly
15
Q

what is DNA oxidation?

A
How well did you know this?
1
Not at all
2
3
4
5
Perfectly
16
Q

what is lipid peroxidation?

17
Q

what is protein oxidation?

18
Q

what is signaling?

A

cell signaling and gene regulation by ROS

19
Q

what else can occur in signaling?

A

-antioxidant response elements (ARE) or electrophilic response elements (EpRE)

20
Q

what is an antioxidant?

A

-substance that protects cells from the damage caused by free radicals

21
Q

how is H2O2 defended?

A

-if H2O2 is not degraded by catalase or glutathione peroxidase, it can be converted to *OH by the fenton reaction

22
Q

what is our major defense against ROS?

A

our major defense against ROS and other electrophiles such as epoxides: glutathione (GSH)

23
Q

what does GSH act as?

A

a radical scavenger
-depletion of GSH leads to toxicity
-GSH:GSSG ratio in cells usually >100 (maintains cellular redox status in reduced form)
-GSH regenerated from GSSG by glutathione reductase and NADPH

24
Q

what are other antioxidant defenses?

A

alpha-tocopherol (vitamin E) and ascorbate (vitamin C) prevent propagation of lipid peroxides in membranes

25
what is the summary of this lecture?
-PAHs are ubiquitous priority environmental toxicants due to their carcinogenicity -PAHs can exert toxicity via nonpolar necrosis, AhR activation, bioactivation to genotoxic carcinogens, or oxidative stress -oxidative stress is a key toxicological mechanism of action for PAHs and other xenobiotics