3 Pb Flashcards

(24 cards)

1
Q

what is Pb?

A

lead
-atomic number 82
-non-essential metal
-denser than most metals, soft malleable metal, low melting point
-exists primarily in two oxidation states Pb(II) and Pb(IV)
-organic forms

How well did you know this?
1
Not at all
2
3
4
5
Perfectly
2
Q

what are the sources of lead?

A

-paint
-leaded gasoline
-mining and smelting
-urban runoff
-recreational shooting
-soldering
-making jewelry, pottery, stained glass
-water supply pipes (plumbing)
-batteries
-radiation shielding
-house renovations

How well did you know this?
1
Not at all
2
3
4
5
Perfectly
3
Q

what is the exposure to lead?

A

water
-lead contamination of soil and water from extraction, production, use and disposal of lead

air
-atmospheric emissions peaked during the industrial revolution but still remains a substantial concern from bioaccumulation and coal burning

soil
-lead in soil can inhibit photosynthesis
-impacts on growth and survival of plants

diet
-bioaccumulation can allow lead to ascent the food chain
-many animals can exhibit toxicity in similar ways as humans

How well did you know this?
1
Not at all
2
3
4
5
Perfectly
4
Q

what is the fate of lead?

A

environment
-water soluble
-streams, lakes, rivers

vertebrates
-short-term exposure lead detected in the blood, liver and kidneys
-long-term exposures->bone

How well did you know this?
1
Not at all
2
3
4
5
Perfectly
5
Q

what are the effects of lead?

A
How well did you know this?
1
Not at all
2
3
4
5
Perfectly
6
Q

how does it interact with essential metals, proteins and nucleic acids?

A

effects protein synthesis

interferes with enzyme function:
1. binds to sulfhydryl groups (-SH)
-change enzyme configuration
-decrease ATP production in mitochondria
2. mimicking/displacing essential metal co-factors in enzymatic reactions
-calcium, iron, zinc

How well did you know this?
1
Not at all
2
3
4
5
Perfectly
7
Q

how is there organ and system dysfunction?

A

main systems affected
-nervous (central nervous system)
-hematopoietic
-renal
-bone

other effects
-reproduction and endocine
-cardiovascular
-immune
-carcinogenicity

How well did you know this?
1
Not at all
2
3
4
5
Perfectly
8
Q

what are the effects on the CNS?

A

brain
-cross the BBB by mimicking calcium
-organic forms enter brain
-encephalopathy

neurons
-degrade myelin sheaths of neurons
-decrease the number of neurons
-interferes with neurotransmission
-decreases neuronal growth

behavior
-hyperactivity
-decreased learning
-increased aggression

How well did you know this?
1
Not at all
2
3
4
5
Perfectly
9
Q

what are the effects on hematopoietic?

A

-heme synthesis
-anemia
-basophilic stippling
-fragile RBCs

How well did you know this?
1
Not at all
2
3
4
5
Perfectly
10
Q

what are the effects on the kidneys?

A

acute nephrotoxicity
-tubular necrosis
-fanconi’s syndrome-> glucose and amino acids in urine

chronic nephrotoxicity
-fibrosis
-progressive nephron loss
-azotemia-> high levels of urea and creatinine in the blood
-kidney failure

How well did you know this?
1
Not at all
2
3
4
5
Perfectly
11
Q

what are the effects on bone?

A

-lead substitutes for calcium in bones
-impacts on osteoblasts-> delayed fracture repair

How well did you know this?
1
Not at all
2
3
4
5
Perfectly
12
Q

what are the effects on reproduction and endocrine systems?

A

-chromosome breakage
-gametotoxic (sperm dysfunction)
-embryotoxic (miscarriages)
-weak teratogen

-thyroid and ACTH function impaired

How well did you know this?
1
Not at all
2
3
4
5
Perfectly
13
Q

what are the effects on the cardiovascular system?

A

-hypertension
-ECG changes

How well did you know this?
1
Not at all
2
3
4
5
Perfectly
14
Q

what are the effects on the immune system and others?

A

immune system
-decreased macrophage activity
-decreased antibody production
-increased susceptibility to endotoxins

carcinogenicity
-weak carcinogen or cocarcinogen
-implications from immune suppression

How well did you know this?
1
Not at all
2
3
4
5
Perfectly
15
Q

what is the excretion of lead?

A

-urine
-feces

How well did you know this?
1
Not at all
2
3
4
5
Perfectly
16
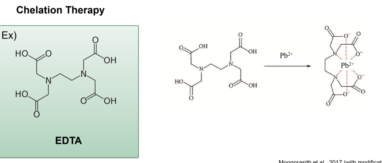
Q

what is the treatment of lead?

A

chelation therapy

medical procedure that involves the administration of chelating agents to remove heavy metals from the body
-administered under very careful medical supervision due to various inherent risks

chelators
-dimercaprol
-dimercaptosuccinic acid
-penicillamine
-ethylenediamine tetraacetic acid (EDTA)

does not reverse damage, but can prevent further damage

17
Q

what are the side effects of chelation therapy?

A

-vomiting and fever
-low blood calcium (hypocalcaemia)
-cytotoxicity and genotoxicity
-kidney damage
-can have reproductive and developmental effects (rodent experiments)
-death

18
Q

what is the risk of lead? who is at risk?

A

-children
-pregnant women
-medical condition
-genetic susceptibility

19
Q

what are the case studies of lead?

A
  1. lead in ancient rome
  2. lead in the news-Flint, Michigan
  3. wildlife lead poisoning
  4. franklin expedition
20
Q

what was lead in ancient rome?

A

-used in pipes that channeled water into homes
-neurotoxicity
a) interferes with enzymes
b) mimics calcium
c) displaces other metal cofactors
-fatigue, problems with sleep, headaches, stupor, slurred speech, anemia

21
Q

what happened in Flint, Michigan?

A

source
a) changed the water source from Detroit supplied Lake Huron to Flint River
b) corrosion of lead pipes partially due to ferric chloride treated water

fate
a) high levels of lead leached into the drinking water

effects
a) fetus and children particularly vulnerable to neurological impacts
b) long term effects being monitored

23
Q

what was wildlife lead poisoning?

A

-lead shot (hunting) and lead sinkers (fishing)
-~1 million bird deaths every year

ingestion by fish and wildlife
-slow digestion in gizzard or gut, release to bloodstream
acute or chronic
-emaciation, death
-sublethal effects on nervous system

24
Q

what was franklin’s expedition?

A

-1845 expedition to the arctic by ship
-never returned
-lead in bones
-tin cans? ship water?