2 - Quadratics Flashcards

(6 cards)

1
Q

How do you find the turning point of a parabola?

A
How well did you know this?
1
Not at all
2
3
4
5
Perfectly
2
Q

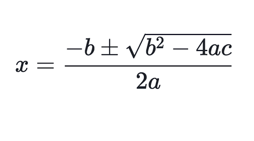
What is the quadratic formula?

A
How well did you know this?
1
Not at all
2
3
4
5
Perfectly
3
Q

What are the rules for rationalising denominators (surds)?

A
How well did you know this?
1
Not at all
2
3
4
5
Perfectly
3
Q

What are the rules for rationalising denominators (surds)?

A
How well did you know this?
1
Not at all
2
3
4
5
Perfectly
4
Q

What are the two main surd rules?

A
How well did you know this?
1
Not at all
2
3
4
5
Perfectly
5
Q

What are the laws of indices?

A
How well did you know this?
1
Not at all
2
3
4
5
Perfectly