Differentiation PT2 Flashcards

(7 cards)

1
Q

Formula for chain rule

A
How well did you know this?
1
Not at all
2
3
4
5
Perfectly
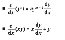
2
Q

Formula for product rule

A
How well did you know this?
1
Not at all
2
3
4
5
Perfectly
3
Q

Formula for quotient rule

A
How well did you know this?
1
Not at all
2
3
4
5
Perfectly
4
Q

Implicit differentiation formula

A
How well did you know this?
1
Not at all
2
3
4
5
Perfectly
5
Q

When is a function concave

A
How well did you know this?
1
Not at all
2
3
4
5
Perfectly
6
Q

When is a function convex?

A
How well did you know this?
1
Not at all
2
3
4
5
Perfectly
7
Q

When does a point of inflection occur?

A
How well did you know this?
1
Not at all
2
3
4
5
Perfectly