2.1 ) Proof Flashcards

(20 cards)

1
Q

What are the different number sets ?

A
  • Natural numbers ( N )
  • Whole numbers ( W )
  • Integers ( Z )
  • Rational numbers ( Q )
  • Irrational numbers ( R / Q )
  • Real numbers ( R )
How well did you know this?
1
Not at all
2
3
4
5
Perfectly
2
Q

What are Natural numbers ( N ) ?

A

All positive integers not including zero

How well did you know this?
1
Not at all
2
3
4
5
Perfectly
3
Q

What are whole numbers ( W ) ?

A

All positive integers including zero

How well did you know this?
1
Not at all
2
3
4
5
Perfectly
4
Q

What are Integers ( Z ) ?

A

All positive and negative integers, including zero

How well did you know this?
1
Not at all
2
3
4
5
Perfectly
5
Q

What are rational numbers ( Q )?

A
  • All positive/ negative integers including zero
  • Recurring/ terminating decimals and fractions
How well did you know this?
1
Not at all
2
3
4
5
Perfectly
6
Q

What are irrational numbers ( Q / R ) ?

A

Surds, pi, e …

How well did you know this?
1
Not at all
2
3
4
5
Perfectly
7
Q

What are real numbers ( R ) ?

A

All numbers apart from complex / imaginary numbers

How well did you know this?
1
Not at all
2
3
4
5
Perfectly
8
Q

What are the different methods for proof ?

A
  • Proof by counter example
  • Proof by deduction
  • Proof by exhaustion
  • Proof by contradiction
How well did you know this?
1
Not at all
2
3
4
5
Perfectly
9
Q

How do you write odd and even integers ?

A
  • EVEN : 2k
  • ODD : 2m + 1
How well did you know this?
1
Not at all
2
3
4
5
Perfectly
10
Q

How do you write consecutive integers ?

A

n, n + 1, n + 2, etc…

How well did you know this?
1
Not at all
2
3
4
5
Perfectly
11
Q

What are coprime integers ?

A
  • Two integers whose highest common factor is 1
  • Eg. 18 and 25
  • Not 12 and 18 since they both share 6
How well did you know this?
1
Not at all
2
3
4
5
Perfectly
12
Q

Proof by deduction that the sum of three consecutive integers is always a multiple of three ?

A
How well did you know this?
1
Not at all
2
3
4
5
Perfectly
12
Q

What is a composite integer ?

A
  • A positive integer greater than 1 that has at least one factor other than 1 and itself
  • Smallest composite integer is 4 ( divisible by 1,2 and 4 )
How well did you know this?
1
Not at all
2
3
4
5
Perfectly
13
Q

Prove by exhaustion that no square number ends in 2, 3, 7 or 8 ?

A
How well did you know this?
1
Not at all
2
3
4
5
Perfectly
14
Q

Disproof by counter-example that the expression n^2 + n + 5 is prime for all values of n ?

A
How well did you know this?
1
Not at all
2
3
4
5
Perfectly
15
Q

Proof by contradiction that /2 is irrational ?

16
Q

Proof by contradiction that logv3^2 is irrational ?

17
Q

Prove there are infinitely many even numbers ?

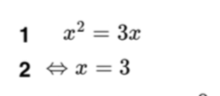
19
Q

What symbol should be used in the second line ?

A
  • x = 0 and x = 3 are both solutions
  • Therefore the symbol should be <=, since it shows x =3 is a solution but not the only solution