2.4 Managing Unpredictable Variability Flashcards

(21 cards)

1
Q

Demand Forecast

A

Basic assessment of future demand based on
statistical methods
▪ Based on historical numbers/data (on demand)
▪ Statistical or causal models

How well did you know this?
1
Not at all
2
3
4
5
Perfectly
2
Q

Demand Plan

A

Complementing the demand forecast by expert knowledge and confirmation
▪ Based on demand forecast
▪ Complemented by expert knowledge from other corporate divisions

How well did you know this?
1
Not at all
2
3
4
5
Perfectly
3
Q

Fig. Production Management

A
How well did you know this?
1
Not at all
2
3
4
5
Perfectly
4
Q

Forecasting in the Supply Chain Context

A

▪ Coordinated forecast by all members of the supply chain
▪ Use point-of-sales data

How well did you know this?
1
Not at all
2
3
4
5
Perfectly
5
Q

Value of Improved Forecasts

A

▪ Decisions regarding ordering quantities are based on a demand forecast
▪ If demand exceeds supply → Stockouts result from the actual demand (lost sales)
▪ If supply exceeds demand → Overstocks increase the supply chain costs
→ Precise forecasts reduce costs of overstocks and understocks

How well did you know this?
1
Not at all
2
3
4
5
Perfectly
6
Q

Forecast Quality

A

▪ Normally distributed demand:
Mean value µ and standard deviation / forecast error 𝜎
▪ Measures:
Reduction of forecast error, for instance by improving market research leads to higher supply chain profits
→ Reach the same CSL with a lower safety inventory

How well did you know this?
1
Not at all
2
3
4
5
Perfectly
7
Q

Conclusion – Characteristics of Forecasts

A

▪ Forecast are always inaccurate
→ Include both the expected value of the forecast and a measure of forecast error
▪ The farther up the supply chain a company is (distance to the consumer), the greater the distortion of information it receives
▪ Collaborative / coordinated forecasts of demand along the supply chain
▪ Aggregate forecasts are more accurate than disaggregate forecasts
→ Aggregation over regions, products, components, etc.
▪ Accuracy of forecasts decreases with the length of the forecasting period
→ Reducing supply lead time allows using accurate short-term forecasts

How well did you know this?
1
Not at all
2
3
4
5
Perfectly
8
Q

Aggregation to Reduce Variability

A

Aggregating (safety) inventory for various customers / regions in centralized storage facilities in order to take
advantage of compensatory effects.

How well did you know this?
1
Not at all
2
3
4
5
Perfectly
9
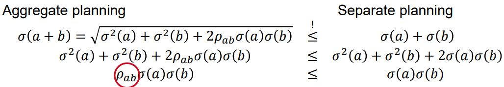
Q

Comparison of Aggregated and Separate Orders

A

→ Lower values for the demand correlation 𝝆𝒂𝒃 imply higher potential savings from aggregation of orders.

How well did you know this?
1
Not at all
2
3
4
5
Perfectly
10
Q

Impact of Aggregation on Safety Inventory

A

Square-root Law: Reducing the number of independent stocking locations by a factor of 𝑛, the average safety inventory can be reduced by a factor of sqrt(𝑛).
→ However, response time and transportation cost to customers increase!
→ Alternative types of aggregation, which enable taking advantage of reduced safety inventories without having to physically centralize all inventories in one location.

How well did you know this?
1
Not at all
2
3
4
5
Perfectly
11
Q

Types of Aggregation

A
  • Information centralization – aggregation of information
  • Specialization – aggregation of inventory
  • Product substitution – aggregation of demand
  • Component commonality – aggregation of components
  • Postponement – aggregation of products
How well did you know this?
1
Not at all
2
3
4
5
Perfectly
12
Q

Aggregation of Information

A

▪ Inventory of every stocking location is globally visible through information systems
▪ Orders are fulfilled by the closest location with stock
▪ In case of delivery problems, another stocking location fulfils the order
▪ Advantages:
– Higher responsiveness
– Lower transportation costs
– Higher product availability
– Lower safety inventory

How well did you know this?
1
Not at all
2
3
4
5
Perfectly
13
Q

Aggregation of Inventory

A

▪ Stocking certain products only in specialized locations
▪ Advisable if:
– Products have different demands depending on the region (e.g., snow shovels)
– Reduction of variety
– Reduction of safety inventory
– Small increase in transportation costs and response time
▪ Products suitable for specialization should have:
– High value
– Low demand
→ Only keep decentralized stock of slow moving products with unpredictable demand if customer is willing to pay a premium!

How well did you know this?
1
Not at all
2
3
4
5
Perfectly
14
Q

Aggregation of Demand

A

▪ Use of one product to satisfy demand for a different product
▪ Manufacturer-Driven Substitution (One-Way-Substitution): Substitution of a lower-value product that is not in stock with a higher-value product
▪ Customer-Driven Substitution (Two-Way-Substitution): Customer substitutes a product that is not in stock with a similar product that is in stock
→ Product substitution enables aggregation and therefore reduces safety inventory

How well did you know this?
1
Not at all
2
3
4
5
Perfectly
15
Q

Aggregation of Components

A

▪ Using a common technological platform for various products
- Advantages:
▪ Lower number of variants for parts → lower development and testing costs
▪ Component Commonality → Economies of scale
▪ Reducing inventory
- Disadvantages:
▪ Greater effort in product design, as common component needs to fit with every product
▪ Changing the common components causes changes in every product
▪ Potentially increased difficulty of product differentiation
▪ Quality issues affect all products which contain common component

How well did you know this?
1
Not at all
2
3
4
5
Perfectly
16
Q

Aggregation of Products

A

▪ Delay product differentiation until closer to the time the product is sold
→ Common components in the push phase, product differentiation as close as possible to the pull phase
▪ Aggregate planning for activities before product differentiation
→ Higher forecast accuracy
▪ Shifting disaggregate forecasts closer to the time of sale
→ More information available
→ Better alignment of supply and demand

17
Q

Fig. Postponement – Aggregation of Products

18
Q

Requirements for Postponement

A
  1. Modular product design
    → Simple and low-cost assembly of different product variants
  2. Modular manufacturing process
    → Supporting the reorganization of the distribution process
  3. Capabilities of the supply chain
    – Efficiently providing the base products
    – Flexible and responsive processing of individual customer orders
19
Q

Enablers of Postponement

A
  1. Process Postponement:
    →e.g., dye:
    Stocking white dye at the retailer, mixing the desired color in the store
  2. Process Resequencing
    → e.g., Benetton:
    Dying clothes after the sewing process, that way colors can be changed according to the current trends
  3. Process Standardization
    → e.g., HP drives:
    Performing customer specific tests only on receiving a customer order, tests are divided into customer specific and generic (standardized) tests
20
Q

Potentials and Limitations of Postponement

A

▪ Increase in profit and better alignment of supply and demand in case of high product variant variability as well as comparable and independent demand for product variants.
▪ If there is a significantly higher demand for a product variant, profits decrease as higher production costs outweigh the advantages of aggregation.
▪ Tailored postponement: Deterministic share of demand is produced cost efficiently without postponement and uncertain share is produced using postponement

21
Q

Quick response

A

refers to actions which reduce supply lead time.
▪ Improving Forecast Accuracy with shorter forecasting periods
– Higher number of orders is possible
– Better match supply and demand
– Higher supply chain profitability
▪ However,
– Increased uncertainty for manufacturer, need for flexible production systems
– Manufacturer needs to produce more lots or keep larger inventories
– High costs for setting-up and ordering