2.8 Force Vector Directed Along a Line Flashcards

(3 cards)

1
Q

Force Vector Directed Along a Line

A
How well did you know this?
1
Not at all
2
3
4
5
Perfectly
2
Q

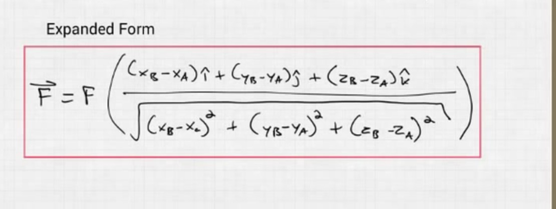
Force Vector in Expanded Form

A
How well did you know this?
1
Not at all
2
3
4
5
Perfectly
3
Q

Important Note

A
How well did you know this?
1
Not at all
2
3
4
5
Perfectly