Dot Product
The dot product is a scalar quantity

Laws of Operation of Dot Product

Cartesian Vector Formulation of Dot Product

Applications of the Dot Product


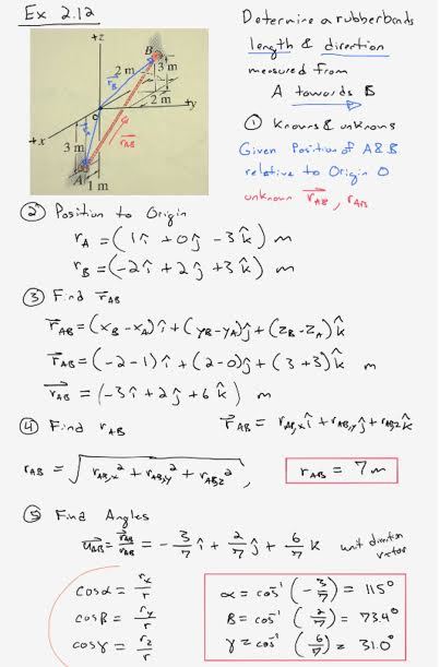
Example 2.12
An elastic rubber band is attached to points A and B as shown. Determe its length and its direction mesured from A towards B


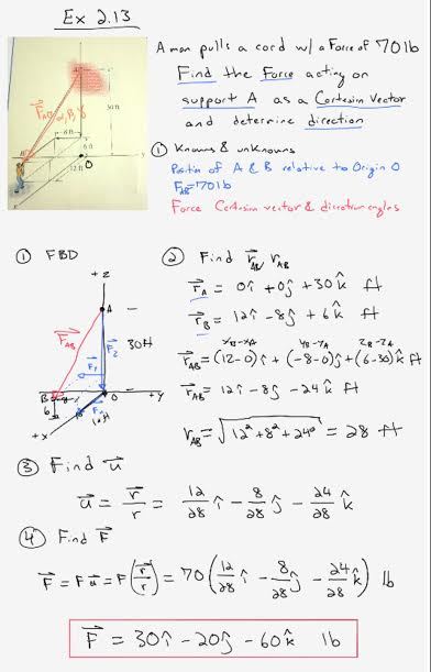
Example 2.13


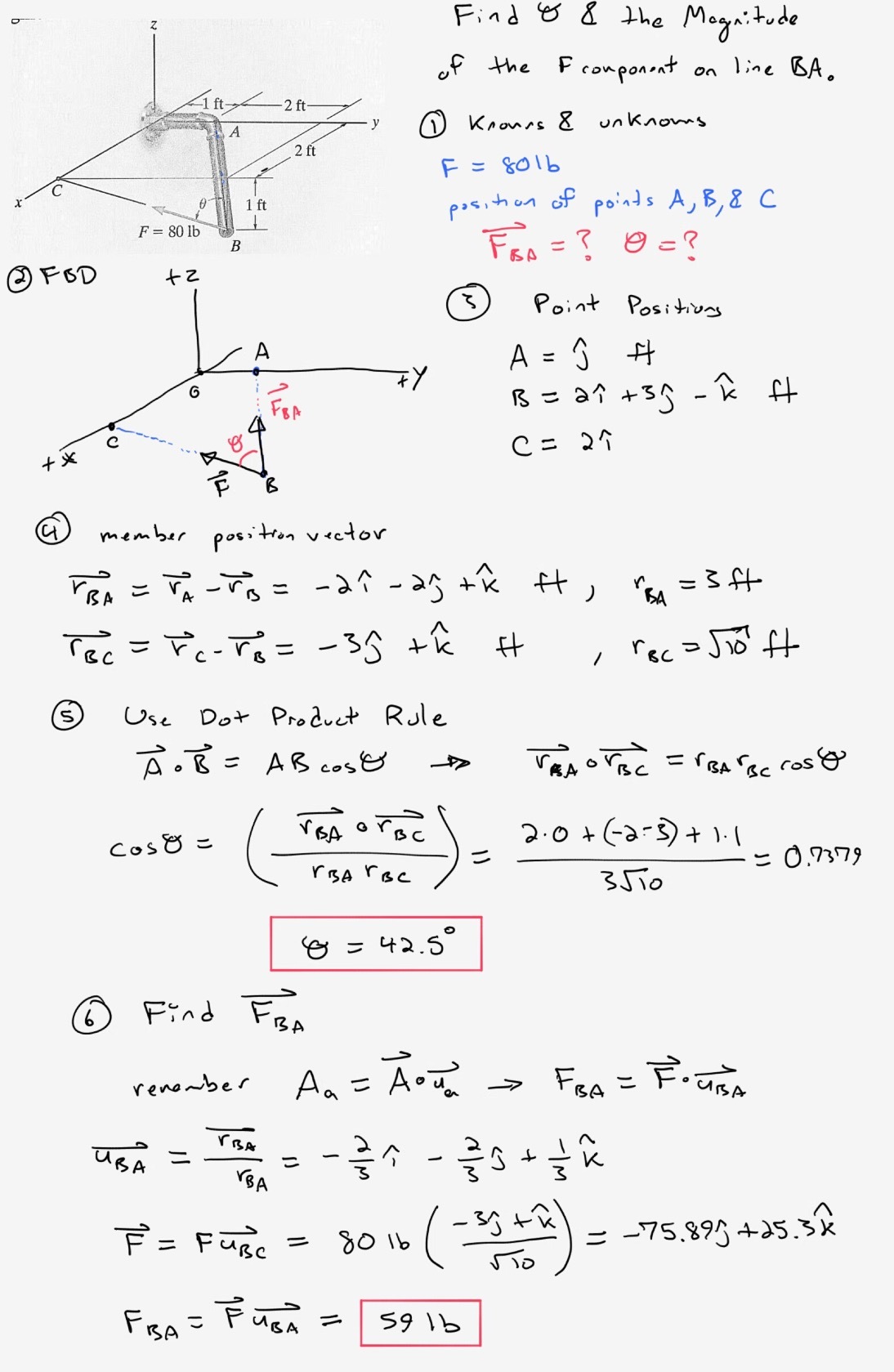
Example 2.16


Example 2.17


Example 2.18

