Cinemàtica. Elements per a la descripció del moviment. Moviments d’especial interés. Mètodes per a l’estudi experimental del moviment.
Definició mecànica – cinemàtica i dinàmica.
Origen mecànica
limitacions – mida i velocitat
Aproximació punt material
Relativitat moviment
Espai i temps absoluts
Cinemàtica. Elements per a la descripció del moviment. Moviments d’especial interés. Mètodes per a l’estudi experimental del moviment.
(1a part, abans de vel)
2.1. Vector de posició
Def - formula - SR - dibuix
Eq vectorial - paramètrica
trajectòria
espai recorregut - eq intrínseca del moviment
2.2. Vector desplaçament
Def
no és igual que trajectòria

Cinemàtica. Elements per a la descripció del moviment. Moviments d’especial interés. Mètodes per a l’estudi experimental del moviment.
(2a part) (a partir de velocitat)
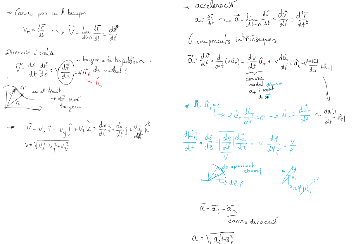
2.3. Velocitat
justiciació
vel mitjana (direcció, mòdul, unitats)
vel instantània (def)
- v en coordenades
- Mòdul (derivada s)
Direcció –> v = vu_t
2.4. Acceleració
més o menys ídem velocitat
2.5. Components intrínseques acceleració
Justificació
Deducció components
a = a_t + a_n

Cinemàtica. Elements per a la descripció del moviment. Moviments d’especial interés. Mètodes per a l’estudi experimental del moviment.
3.1. Moviments rectilinis
justificar que no fa falta vectors
MRU
MRUA
3.2. Composició de moviments. TIR PARABÒLIC
Què és
Restriccions moviments de projectils (??)
Dibuix i equacions
Si temps: Eq trajectòria, abast, angle abast màxim
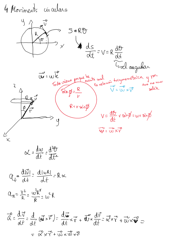
3.3. Moviment circular
Plantejament dibuix
s = R(theta) –> v = R(omega) –> V = (omega) x r
acc angular
a_t, a_n
a (derivar v)
intregrals –> MCU, MCUA
3.4. Moviment harmònic simple
Justificació, introducció
Característiques
Deduir a partir del moviment circular
Equivalència sin i cos
Perìode i freqüència
v i a, màxims i minims també i on

Cinemàtica. Elements per a la descripció del moviment. Moviments d’especial interés. Mètodes per a l’estudi experimental del moviment.
??
Manuals, fotogràfics i automàtics
Tracker, js Track info
esquemes experimentals