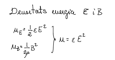
Densitat Energia
Camps Magnètics i Elèctrics

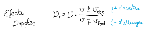
Efecte Doppler

Energia Magnètica

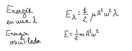
Energia d’una ona

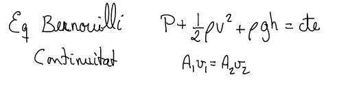
Equació de Bernouilli
i equació continuÏtat

Equació de Schrödinger

Ethos ciència

Fórmules trigonomètriques

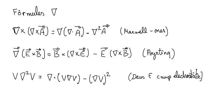
Fórmules Nabla

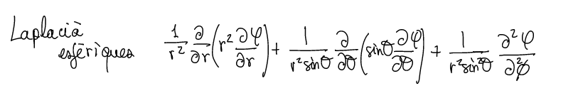
Laplaciá en esfèriques

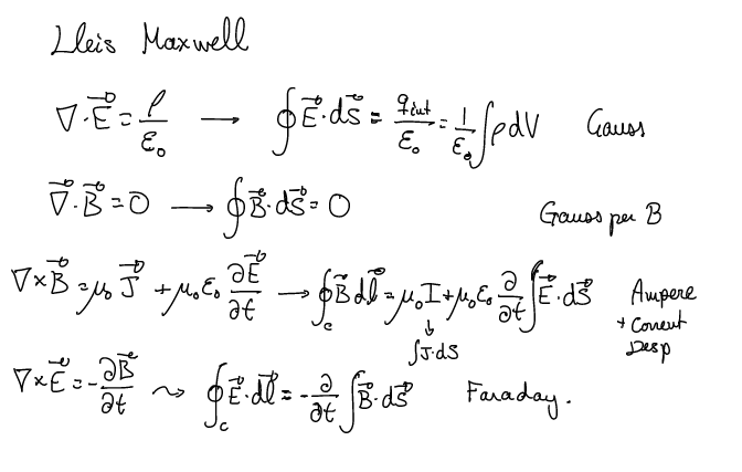
Lleis Maxwell

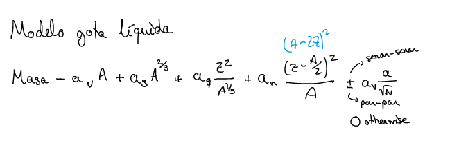
Model Gota líquida

Moment angular mecànica quàntica

Moment Camp EM i relació energia

Moment camp EM

Moment magnètic deficinició clàssica

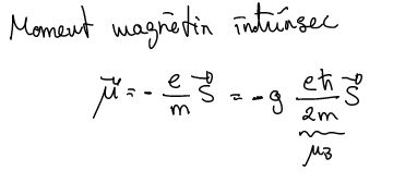
Moment magnètic intrínsic

Números màgics

Potència de les ones

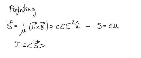
Poynting

Pressió de radiació

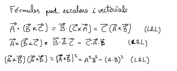
Porductes escalars i vectorials

Radiació em

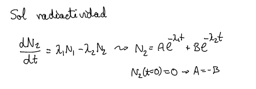
Reciactivitat més d’un nucli
