5 Flashcards

(23 cards)

1
Q

cos’è lo spazio campione?

A

insieme di tutti i risultati possibili

How well did you know this?
1
Not at all
2
3
4
5
Perfectly
2
Q

principio delle probabilità totali

A

La somma delle probabilità di tutti gli eventi possibili mutuamente esclusivi è uguale ad 1

How well did you know this?
1
Not at all
2
3
4
5
Perfectly
3
Q

definisci eventi mutuamente esclusivi o incompatibili

A

Due eventi sono mutuamente esclusivi o incompatibili se l’occorrenza dell’uno esclude l’altro, quindi, non si possono verificare insieme

How well did you know this?
1
Not at all
2
3
4
5
Perfectly
4
Q

legge della somma

A

probabilità che si verifichi un evento o l’altro
-eventi esclusivi: somma probabilità
-eventi compatibili: somma probabilità- probabilità che si verifichino insieme

How well did you know this?
1
Not at all
2
3
4
5
Perfectly
5
Q

eventi dipendenti e indipendenti

A

-eventi indipendenti se il verificarsi di un evento non dipende dal verificarsi dell’altro e viceversa
-eventi condizionati o dipendenti se il verificarsi del primo dipende dal versificarsi del secondo

How well did you know this?
1
Not at all
2
3
4
5
Perfectly
6
Q

legge del prodotto

A

calcolare la probabilità che si verifichino contemporaneamente due o più eventi.
-eventi indipendenti: P(A)P(B)
-eventi dipendenti: P(A)
P(B|A)

How well did you know this?
1
Not at all
2
3
4
5
Perfectly
7
Q

come calcolo la probabilità di B dato che A si è già verificato?

A

P(B|A) = P(BunitoA)/P(A)

How well did you know this?
1
Not at all
2
3
4
5
Perfectly
8
Q

come si definisce la distribuzione di probabilità?

A

X : variabile che rappresenta tutti i risultati di un possibile esperimento
x : valore che la variabile X può assumere
La P(X=x) si definisce attraverso la funzione di probabilità f(x)

How well did you know this?
1
Not at all
2
3
4
5
Perfectly
9
Q

funzione di distribuzione di probabilità cumulata

A

F(X)=Σf(x)

How well did you know this?
1
Not at all
2
3
4
5
Perfectly
10
Q

distribuzioni discrete e continue

A

discrete: X è una variabile discreta
continue: X è continua e si considerano intervalli di valori

How well did you know this?
1
Not at all
2
3
4
5
Perfectly
11
Q

principali funzioni di distribuzione di variabili discrete

A

binomiale
di poisson

How well did you know this?
1
Not at all
2
3
4
5
Perfectly
12
Q

distribuzione binomiale/prova di Bernoulli

A

-variabile quantitativa discreta
-evento che può assumere soltanto due possibili valori mutuamente esclusivi
-Le prove sono indipendenti

How well did you know this?
1
Not at all
2
3
4
5
Perfectly
13
Q

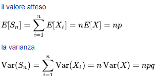
come si calcola la media e varianza nella distribuzione binomiale?

A

-media E(x)= µ=np (numero di prove moltiplicato per la probabilità di successo)
-varianza δ2= n
p*q

How well did you know this?
1
Not at all
2
3
4
5
Perfectly
14
Q

distribuzione di poisson

A

-la variabile si distribuisce casualmente nel tempo o nello spazio
-per descrivere eventi rari
-gli eventi devono accadere indipendentemente l’uno dall’altro

How well did you know this?
1
Not at all
2
3
4
5
Perfectly
15
Q

funzione di distribuzione di probabilità di poisson

A

lambda è l’unico parametro della Poisson e rappresenta contemporaneamente la media e la varianza

How well did you know this?
1
Not at all
2
3
4
5
Perfectly
16
Q

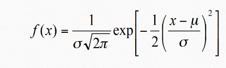
funzione di densità di distibuzione di gauss

A

i due parametri sono media e deviazione standard

17
Q

caratteristiche della distribuzione di gauss/normale

A

-distribuzione degli errori
-simmetrica rispetto alla media –l’area totale sotto la curva è pari a 1

18
Q

a cosa è pari la deviazione standard?

A

la deviazione standard è data dalla distanza tra il valore medio e il punto di flesso dove la curva cambia direzione

19
Q

Intervalli notevoli curva normale

A

-1 deviaz standard: µ-σ ed µ+σ è pari al 68% dell’area totale;
-2 deviaz standard: µ-2σ ed µ+2σ è pari al 95% dell’area totale;
-3 deviaz standard: µ-3σ ed µ+3σ è pari al 99,7% del totale;

20
Q

quali sono gli indici per valutare la normalità di una curva?

A
  1. Indice di asimmetria
    -asimmetria = 0 curva simmetrica
    -asimmetria < 0 coda sinistra più lunga
    -asimmetria > 0 coda destra più lunga
  2. Indice di curtosi (forma curva)
  3. rappresentazioni grafiche: sovrappongo curva di gauss a quella empirica
21
Q

quali caratteristoche ha la distribuzione di gauss standard?

A

media=0
deviaz standard=1

22
Q

standardizzazione

A

trasformiamo variabile x in variabile z per utilizzare la distribuzione di gauss standard