7 Flashcards

(21 cards)

1
Q

su cosa si basa l’inferenza statistica?

A

stima del parametro
verifica delle ipotesi

How well did you know this?
1
Not at all
2
3
4
5
Perfectly
2
Q

cos’è l’inferenza statistica?

A

azione basata sull’estendere la stima del campione al parametro della popolazione con una certa probabilità

How well did you know this?
1
Not at all
2
3
4
5
Perfectly
3
Q

definisci stima puntuale

A

stima fatta sul singolo campione

How well did you know this?
1
Not at all
2
3
4
5
Perfectly
4
Q

definisci stima intervallare

A

stima fatta prendendo un intervallo di valori in cui è il parametro con una certa probabilità

How well did you know this?
1
Not at all
2
3
4
5
Perfectly
5
Q

cos’è un intervallo di confidenza?

A

intervallo limitato da limiti L1 e L2 in cui rientra il parametro con una certa probabilità

How well did you know this?
1
Not at all
2
3
4
5
Perfectly
6
Q

quali sono i limiti della stima puntuale?

A

considera solo 1 campione
non tiene conto della variabilità
non è in termini di probabilità

How well did you know this?
1
Not at all
2
3
4
5
Perfectly
7
Q

cos’è 1-α?

A

livello di confidenza, è la probabilità che un parametro sia in un intervallo preciso

How well did you know this?
1
Not at all
2
3
4
5
Perfectly
8
Q

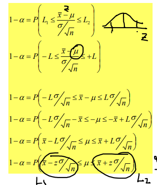
come si trovano L1 ed L2?

A

-calcolo l’intervallo di confidenza per la media della popolazione µ
-standardizzo e uso z al posto di µ
-risolvo isolando µ, che è compresa tra L1 ed L2

How well did you know this?
1
Not at all
2
3
4
5
Perfectly
9
Q

qual è l’intervallo di confidenza della media della popolazione?

A
How well did you know this?
1
Not at all
2
3
4
5
Perfectly
10
Q

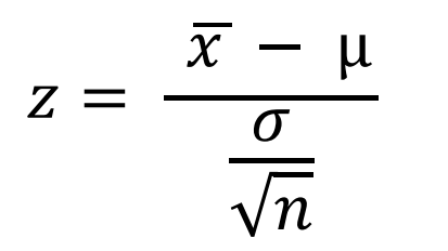
a cosa corrisponde z per una variabile x medio e una media µ?

A
How well did you know this?
1
Not at all
2
3
4
5
Perfectly
11
Q

definisci errore nella stima

A

valore che si sottrae/aggiunge alla media campionaria e misura quanto si discosta la media campionaria dalla media della popolazione

How well did you know this?
1
Not at all
2
3
4
5
Perfectly
12
Q

da cosa dipendono i limiti intervallari?

A

variabilità
dimensione campione n
media campionaria
distribuzione teorica di prob (z)

How well did you know this?
1
Not at all
2
3
4
5
Perfectly
13
Q

intervallo di confidenza a varianza nota

A

considero z e con distribuzione gauss standard

How well did you know this?
1
Not at all
2
3
4
5
Perfectly
14
Q

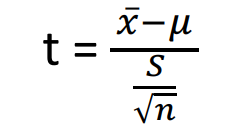
come si trova l’intervallo di confidenza a varianza incognita?

A

considero la stima puntuale S(distribuzione x2)
al posto di z si usa t variabile a distribuzione t-student (tiene conto dei gradi di libertà n-1)

How well did you know this?
1
Not at all
2
3
4
5
Perfectly
15
Q

caratteristiche della t-student

A

-simile alla gauss
-simmetrica attorno a media(=0)
-per campioni molto grandi tende alla gauss standard
-varianza >1

How well did you know this?
1
Not at all
2
3
4
5
Perfectly
16
Q

intervallo di confidenza per la media di una variabile con distribuzione di Gauss con
media e varianza incognita

A

t al posto di z
S al posto di sigma

17
Q

Come si interpreta l’intervallo di confidenza?

A

-int probabilistica
-int pratica(estrazione da ogni campione)

18
Q

cosa esprime l’ampiezza dell’intervallo?

A

l’errore nella stima ovvero l’imprecisione della media campionaria rispetto a quella di popolazione (intervallo + ampio=+imprecisione)

19
Q

da cosa dipende l’imprecisione dell’intervallo?

A

dal t 𝑆/√𝑛, quindi da
-variabilità (magg variab min precisione stima)
-dimensione campione (campione+ grande=imprecisione min)
-livello di confidenza (magg L=magg magg variabilità)

20
Q

Come mantenere un livello di confidenza alto senza aumentare l’ampiezza dell’intervallo?

A

agisco sull’errore standard σ/√𝑛, per cui posso solo modificare n

21
Q

definisci errore standard