5.1 5.2 Flashcards

(41 cards)

1
Q

explica dogma central BM

A

El ADN se replica (solo si la célula se va a dividir) o se prepara para leerse.

El ADN se transcribe y crea el ARN mensajero, que lleva la copia de la información al ribosoma (Intermediario).

El ARN ribosómico forma el ribosoma, el lugar físico donde se fabrican las proteínas (Complejo síntesis).

El ARN de transferencia traduce el mensaje: lee las instrucciones del mensajero y añade/trae el aminoácido correcto (traductor).

How well did you know this?
1
Not at all
2
3
4
5
Perfectly
2
Q

def Gen

A

segmento de DNA que contiene la información necesaria para
la síntesis de un producto biológico funcional (proteína o RNA)

How well did you know this?
1
Not at all
2
3
4
5
Perfectly
3
Q

Evasión al “Dogma”
estructuras q no siguen unidireccion

A

ribozimas, priones, transcriptasa inversa de algunos virus

How well did you know this?
1
Not at all
2
3
4
5
Perfectly
4
Q

dif nucleosido y nucleotido

A

nucleósido-> pentosa + base nitrogenada
nucleótido-> nucleósido + fosfato

How well did you know this?
1
Not at all
2
3
4
5
Perfectly
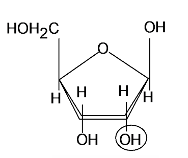
5
Q

enlaces en
pentosa + grupo fosfato

pentosa + base nitrogenada

A

enlace éster fosfórico
enlace N-beta-glicosídico

How well did you know this?
1
Not at all
2
3
4
5
Perfectly
6
Q

que es

A

arn
ribosa

How well did you know this?
1
Not at all
2
3
4
5
Perfectly
7
Q

que es

A

adn
desoxirribosa

How well did you know this?
1
Not at all
2
3
4
5
Perfectly
8
Q

Químicamente los glúcidos que son

A

polihidroxialdehídos o polihidroxicetonas.

How well did you know this?
1
Not at all
2
3
4
5
Perfectly
9
Q

Cuando el carbonilo se sitúa en el extremo
de la cadena se denominan
●Cuando el carbonilo se sitúa en un C interior
de la cadena se denominan

A

aldehído CHO
cetona C=O

How well did you know this?
1
Not at all
2
3
4
5
Perfectly
10
Q

caract Monosacáridos

A

Sólidos, incoloros y cristalinos, solubles en agua (insolubles en disolventes apolares), mayoría con sabor dulce

How well did you know this?
1
Not at all
2
3
4
5
Perfectly
11
Q

en funcion de la posicion del carbono quiral, en monosacaridos que tipos de enantiomeros pueden dar lugar

A

*el OH de su último carbono quiral a la derecha: ISOMEROS D -> en la naturaleza solo hay de este tipo
*el OH de su último carbono quiral a la izquierda: ISOMEROS L

How well did you know this?
1
Not at all
2
3
4
5
Perfectly
12
Q

que le ocurren a los monosacaridos al ciclarse en cuanto a su isomeria

A

monosacaridos presentan un carbono quiral que les concede isomeria, L o D en funcion de donde se halle OH si derecha o izquierda. al ciclarse, se forma el enlace hemicetálico, que es covalente, y da lugar a un nuevo carbono quiral, concediendo un nuevo tipo de isomeria, que alfa y beta. sera uno u otro en funcion de la posicion arriba o abajo del OH

How well did you know this?
1
Not at all
2
3
4
5
Perfectly
13
Q

que ocurre con los monosacaridos en disolucion acuosa en cuanto a su isomeria alfa y beta?

A

mutarrotacion, os anómeros alpha y beta se interconvierten continuamente (pasando por la forma lineal) hasta llegar a un equilibrio.

How well did you know this?
1
Not at all
2
3
4
5
Perfectly
14
Q

conformacion de monosacaridos en funcion de c2’ y c3’ respecto a c5’:

A

en el mismo lado que C5’: ENDO
en distinto lado que C5’: EXO

How well did you know this?
1
Not at all
2
3
4
5
Perfectly
15
Q

A través de qué átomo de nitrógeno se unen las bases nitrogenadas a la pentosa?

A

Pirimidinas (1 anillo): Se unen por el N1.
Purinas (2 anillos): Se unen por el N9.

How well did you know this?
1
Not at all
2
3
4
5
Perfectly
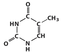
16
Q

que es

A

citosina

How well did you know this?
1
Not at all
2
3
4
5
Perfectly
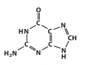
17
Q

que es

18
Q

q es

19
Q

que es

20
Q

que es

21
Q

bases nitrogenadas
funcion en relacion a:
hidrosolubilidad
pH
tipos y si son planares o no
enlaces que forman

A

son hidrofóbicas
básicas débiles
pirimidinicas mas planas que purinas
forman puentes de H

22
Q

estructuras que se hallan en forma libre sólo trazas

A

bases nitrogenadas y nucleósidos

23
Q

como puede hidrolizarse enlace N-Beta-glicosídico? y el enlace éster fosfórico?

A

medio ácido o mediante nucleosidasas
ácido fuerte + calor o mediante fosfatasas

24
Q

funcion
-ATP (ADP, AMP):

A

almacenamiento de energía

25
mediante que enlace se unen nucleotidos carct de este enlace
fosfodiester covalente y presenta polaridad específica
26
como puede hidrolizarse enlace fosfodiester?
medio básico SOLO ROMPE ARN. ADN RESISTE o mediante Endonucleasas: Cortan por el interior. Exonucleasas: Cortan desde los extremos.
27
oligonucleótidos define
ácido nucleico de menos de 50 nucleotidos
28
en que direccion se lee y se sintetiza ácido nucleico
lee-> 3'-> 5' se sintetiza y se escribe-> 5'->3'
29
hélice dextrógira ADN: como se disponen las hebras como se disponen fosfatos, bases y pentosas orientación bases respecto al eje distancia entre bases adyacentes separadas estructura helicoidal se repite cada... Diámetro de la hélice
complementarias, antiparalelas y helicoidales fosfatos y pentosas exterior y bases interior formando pdH casi perpendiculares 3,4 A 34A 20 A
30
entre adenina y timina que tipo de enlace hay entre citosina y guanina que tipo de enlace hay
2ble 3ple
31
La doble hélice se mantiene unida (internamente) por
*ptes de H *interacciones apilamiento bases (Interacción entre los anillos aromáticos planos (electrones pi y efecto hidrofóbico (esconderse del agua). *Alabeo: Las bases se tuercen ligeramente para maximizar el apilamiento. *Contraiones (Mg{2+}): Neutralizan la repulsión entre las cargas negativas de los fosfatos. *Hidratación: El agua estabiliza la estructura externa.
32
La doble hélice se mantiene unida (externamente) por
enlaces iónicos histonas y cationes como magnesio
33
en adn que ocurre Siempre que se encuentren 4 o más adeninas consecutivas que ocurre en caso de que se formen palíndromos
curvatura de la hélice secuencia simetría binaria. da lugar a: horquilla (1) y cruciforme (2 hebras)
34
que es adn H
repetición especular de triple hélice
35
donde se halla uracilo en adn
mutaciones, patologías metabólicas
36
quien cumple regla de chargaff de bases pirimidinicas=bases púnicas
adn si arn no
37
mediante que enzima se desenrolla adn tipos de enrollamiento de adn
topoisomerasas -Superenrollamiento Negativo->(superenrollamiento dextrogiro). este es el nuestro y se halla en zonas que codifican genes - Superenrollamiento Positivo->(superenrollamiento levogiro)
38
que son complejos de histonas unidos al DNA
NUCLEOSOMAS (octámero de 2 copias)
39
como se halla en adn en interfase, mitosis y metafase
interfase-> cromatina dispersa mitosis-> cromatina densa metafase-> cromosomas
40
proteínas que empaquetan y ordenan el DNA en nucleosomas
histonas
41
que estructura modifica las propiedades estructurales y funcionales de la cromatina: papel en regulación transcripción y donde es común hallar dicha estructura
histonas zonas con abundancia A=T