§ 6.1 Flashcards

(8 cards)

1
Q

Convert degrees to radians

R =

A
How well did you know this?
1
Not at all
2
3
4
5
Perfectly
2
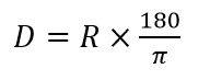
Q

Convert radians to degrees

D =

A
How well did you know this?
1
Not at all
2
3
4
5
Perfectly
3
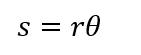
Q

Length of an arc of a circle, radius r, subtended by an angle θ

s =

A
How well did you know this?
1
Not at all
2
3
4
5
Perfectly
4
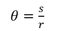
Q

Radian measure of angle θ, in terms of arc length and radius

θ =

A
How well did you know this?
1
Not at all
2
3
4
5
Perfectly
5
Q

Area of a sector

Area =

A
How well did you know this?
1
Not at all
2
3
4
5
Perfectly
6
Q
A
How well did you know this?
1
Not at all
2
3
4
5
Perfectly
7
Q
A
How well did you know this?
1
Not at all
2
3
4
5
Perfectly
8
Q
A
How well did you know this?
1
Not at all
2
3
4
5
Perfectly