Double-Angle


Double-Angle


Double-Angle


Double-Angle


Double-Angle


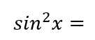
Power-lowering


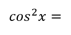
Power-lowering


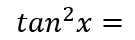
Power-lowering


Half-angle


Half-angle


Half-angle


Half-angle


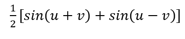
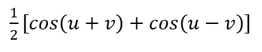
Product-to-Sum


Product-to-Sum


Product-to-Sum


Product-to-Sum


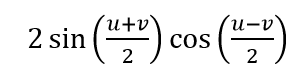
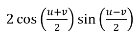
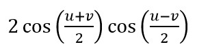
Sum-to-Product


Sum-to-Product


Sum-to-Product


Sum-to-Product

