A final practice Flashcards

(127 cards)

1
Q

A 3.0” schedule 40 gas line is 875 feet long (fittings included) and operates at a static
pressure of 10 psig. What is the maximum load on the piping system with a maximum
allowable pressure drop is 3 psi?

A

Actual inside diameter of 3.068: 20,489 ft3,
Nominal pipe size: 19,320 ft3 from answers

How well did you know this?
1
Not at all
2
3
4
5
Perfectly
2
Q

What is the size of a TOE nipple for the purge point at each end of a 6″ gas pipe?

A

3/4 inch

The actual pipe size for the nipple is 3/4 inch.

How well did you know this?
1
Not at all
2
3
4
5
Perfectly
3
Q

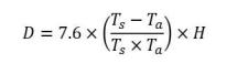
Calculate the theoretical draft in the venting system based on the following information:
a. Stack temperature 473 degrees F.
b. Ambient temperature 72 degrees F.
c. Stack height 38 ft.

Options:
a) 0.18 in. w.c.
b) 0.23 in. w.c.
c) 0.30 in. w.c.
d) 0.35 in. w.c.

A

Answer:
b) 0.23 in. w.c.

D=7.6×0.0008088×38
D≈0.2335in.w.c.

How well did you know this?
1
Not at all
2
3
4
5
Perfectly
4
Q

You are called on to commission an installation of a 3,275,000 Btu natural gas boiler.
Excess air set at 22%
Stack diameter 14 inch
Combustion chamber and heat exchanger pass volume 165 ft³
Gross stack temperature 405 deg. F
Ambient temperature 75 deg. F
The programming control requires a purge card. The gas inspector has asked for your calculations for the pre-purge period for the boiler, select the correct card?

Options:
a) 30 seconds
b) 60 seconds
c) 90 seconds
d) 120 seconds

A

Total Volume to be Purged:
Combustion chamber and heat exchanger pass volume = 165 ft³
Assuming 4 air changes for pre-purge:
Total Volume = 165 ft³ × 4 changes = 660 ft³

Volumetric Flow Rate of Combustion Air:

Boiler Input: 3,275,000 Btu/h

Heating Value of Natural Gas: Approximately 1,020 Btu/scf (standard cubic foot).

Stoichiometric Air Requirement: For natural gas (primarily methane), approximately 9.52 scf of air is required per scf of natural gas for complete combustion.

Natural Gas Flow Rate:
Gas Flow = 3,275,000 Btu/h / 1,020 Btu/scf ≈ 3210.78 scf/h

Stoichiometric Air Flow:
Stoich Air Flow = 3210.78 scf/h × 9.52 scf air/scf gas ≈ 30560 scf/h

Total Air Flow with Excess Air: (22% excess air)
Total Air Flow = 30560 scf/h × (1 + 0.22) = 30560 scf/h × 1.22 ≈ 37283.2 scf/h (at standard conditions, 60°F)

Actual Volumetric Air Flow at Ambient Temperature:
Ambient Temperature (T a ) = 75°F = 75 + 459.67 = 534.67 °R
Standard Temperature = 60°F = 60 + 459.67 = 519.67 °R
Actual Volumetric Air Flow = 37283.2 scf/h × (534.67 °R / 519.67 °R) ≈ 37283.2 scf/h × 1.0288 ≈ 38363.3 ft³/h

Calculate Pre-Purge Time:
Pre-Purge Time (hours) = Total Volume / Actual Volumetric Air Flow
Pre-Purge Time = 660 ft³ / 38363.3 ft³/h ≈ 0.0172 hours

Convert to seconds:
0.0172 hours × 60 minutes/hour × 60 seconds/minute ≈ 61.92 seconds

How well did you know this?
1
Not at all
2
3
4
5
Perfectly
5
Q

What is the required minimum relief valve capacity of a 150 PSIG steam boiler rated at 500 BHP?

A

17,250 lbs/hr (500 x 34.5)

How well did you know this?
1
Not at all
2
3
4
5
Perfectly
6
Q

What is the maximum allowable operating Pressuretrol set point of a high pressure steam boiler equipped with 125 PSIG pressure relief valves?

Options:
a) 100 PSIG
b) 112.5 PSIG
c) 125 PSIG
d) 137.5 PSIG

A

Answer:
100 PSIG 125x.80

How well did you know this?
1
Not at all
2
3
4
5
Perfectly
7
Q

A DFMA on a building has a capacity of 18,000 CFM and requires a natural gas supply. What is the maximum load on the gas supply line to the unit?

Options:
a) 1,632,960 Btu/h
b) 1,800,000 Btu/h
c) 2,160,000 Btu/h
d) 2,400,000 Btu/h

A

a) 1,632,960 Btu/h

How well did you know this?
1
Not at all
2
3
4
5
Perfectly
8
Q

Mechanical means is used to provide combustion air to a mechanical room. The appliances in the room are over 400 mbh and have their excess air set at 25%. None of
the appliances have draft control. What volume of air is required for every 1000 btu’s?

Options:
a) 10 ft³ for every 1,000 Btus
b) 20 ft³ for every 1,000 Btus
c) 30 ft³ for every 1,000 Btus
d) 40 ft³ for every 1,000 Btus

A

c) 30 ft³ for every 1,000 Btus

How well did you know this?
1
Not at all
2
3
4
5
Perfectly
9
Q

A mechanical room contains the following natural gas appliances:

2 atmospherically fired hot water tanks 500 MBH
One hot water boiler with a barometric damper input rating 2,895 MBH
One steam boiler at 18,500 MBH without draft control
Grills with a K factor of .75
a. What is the free area of the combustion air opening?
b. What is the free area of the ventilation air opening?
c. What are the opening sizes required for each grill?

A

a. 966.31 in²
b. 96.6 in²
c. 1288.41 in² / 128.8 in²

Gross Area = Free Area (Combustion) ÷ K-factor
Gross Area = 966.31in
2 ÷0.75=1288.413in

How well did you know this?
1
Not at all
2
3
4
5
Perfectly
10
Q

What is the cross sectional area of a duct that will pass 170,000 cubic feet/hour of combustion air at a velocity of 550 feet/minute?

Options:
a) 3.5 ft² / 504 in²
b) 4.2 ft² / 605 in²
c) 5.15 ft² / 742 in²
d) 6.8 ft² / 979 in²

A

c) 5.15 ft² / 742 in²

How well did you know this?
1
Not at all
2
3
4
5
Perfectly
11
Q
  1. What is the maximum allowable time for the pilot to light the main burner when
    adjusted to its minimum flame when conducting a pilot turn down test?
    Options:
    a) 40 seconds
    b) 1 second
    c) 4 seconds
    d) 10 seconds
A

1 second

How well did you know this?
1
Not at all
2
3
4
5
Perfectly
12
Q

A valve train on a 5 psi system must have the high and low pressure gas switch replaced. What pressure do you set the High pressure switch?

Options:
a) 5.0 psig
b) 6.0 psig
c) 6.25 psig
d) 7.5 psig

A

c) 6.25 psig
5x%125

How well did you know this?
1
Not at all
2
3
4
5
Perfectly
13
Q

A valve train on a 5 psi system must have the high and low pressure gas switch replaced. What pressure do you set the Low pressure switch?

Options:
a) 1.0 psig
b) 2.0 psig
c) 2.5 psig
d) 3.0 psig

A

c) 2.5 psig
5x%50

How well did you know this?
1
Not at all
2
3
4
5
Perfectly
14
Q

What is the minimum operating pressure of a valve train requiring low and high gas pressure switches?

Options:
a) 0.1 psig
b) 0.25 psig
c) 0.5 psig
d) 1.0 psig

A

c) 0.5 psig
no high max

How well did you know this?
1
Not at all
2
3
4
5
Perfectly
15
Q

A motor is rated 115/60/1 at 5 amps: How many watts would this motor be rated at?

Options:
a) 115 Watts
b) 230 Watts
c) 575 Watts
d) 690 Watts

A

Power(Watts)=Voltage(Volts)×Current(Amps)
Power=115V×5A
Power=575Watts

How well did you know this?
1
Not at all
2
3
4
5
Perfectly
16
Q

What would 6 ounces be in water column?

Options:
a) 8.5 “w.c.
b) 9.2 “w.c.
c) 10.5 “w.c.
d) 11.2 “w.c.

A

c) 10.5 “w.c.

How well did you know this?
1
Not at all
2
3
4
5
Perfectly
17
Q

A DFMA on a building has a capacity of 13,000 cfm. Design temperatures are 0 deg F to 70 deg F.

a. What is the expected amount of CO2 for a DFMA firing natural gas operating at an outdoor air temp of 55°F and a discharge set point of 72°F?
b. On Propane

A

a. 0.034%

b. 0.0408%

How well did you know this?
1
Not at all
2
3
4
5
Perfectly
18
Q
  1. A 15,500 MBH boiler is operating on natural gas with 22% excess air.
    a. What percentage of O2 would you expect to find in an analysis of the flue
    gasses?
    b. What percentage of CO2 would you expect to find in an analysis of the flue
    gasses?
A

a. 8.9%
b. 3.9%

How well did you know this?
1
Not at all
2
3
4
5
Perfectly
19
Q

A natural gas appliance is operating under the following conditions atmospheric
burner:
* input 3,820 mbh
* manifold pressure 7.2” wc.
* Orifice K factor 0.83
* calorific value of the natural gas is 1024 Btu/ft3
* standby fuel 52% propane 48% air mix
Calculate the diameter of the orifice required when operating on natural gas

A

1.009”

How well did you know this?
1
Not at all
2
3
4
5
Perfectly
20
Q

What is the input of an 82% efficient boiler required to raise the temperature of 673
imperial gallons of water from 39 °F to 139 °F in 23 minutes.

A

2,141,039 btu/hr

How well did you know this?
1
Not at all
2
3
4
5
Perfectly
21
Q

A mechanical room contains a natural gas steam boiler rated at 1 453 MBH. The boiler is
required to run 24 hrs. a day to supply steam requirements. The room is supplied with
gas from a 15 psig meter with a 10 ft3 test dial. A new hot water heater rated at 93 Kw
is installed. The meter was clocked with just the boiler operating and the test dial took
50 seconds for one revolution. On start-up of the hot water heater the meter was
clocked with both appliances fired at 41 seconds. Local atmosphere is 14.69 PSIG.
a. What is the clocked input of the boiler?
b. What is the clocked input of the water heater?
c. Are both appliances firing correctly

A

a. 1451.232 MBH
b. 318.563 MBH (93.36 kW)
c. Boiler Yes / Water heater No

How well did you know this?
1
Not at all
2
3
4
5
Perfectly
22
Q

By what percentage would the input of an appliance increase if the manifold pressure of
6 “ w.c. was increased to 9.5” w.c.

A

25.83%

How well did you know this?
1
Not at all
2
3
4
5
Perfectly
23
Q

At a pressure of 3.5” w.c. a 3/8” diameter orifice will pass 677 ft3/hr of natural gas.
What would the resulting flow be if the pressure was increased to 11” w.c.

A

1,200.193 ft3

How well did you know this?
1
Not at all
2
3
4
5
Perfectly
24
Q

What would be the new input be if a 26,375 MBH boiler was switched from Nat gas
toits standby fuel of 55% Prop 45% Air mix?

A

24 771 381 btus

How well did you know this?
1
Not at all
2
3
4
5
Perfectly
25
How many hours will a 23 675 MBH burner take to burn 1,275 lbs of liquid propane
1.142 hours / 68.5 minutes / 1 hours 8 minutes and 30 senconds
26
If an appliance has an input of 1,785 mbh what is the allowable input in Btuh for anintermittent pilot?
89 250 btus
27
How much horizontal separation is required if a buried steel gas line runs parallel with another steel pipe?
12”
28
What minimum depth must a gas pipe be installed under a driveway?
15 inches or 24 inches commercial
29
A gas piping system is tested using a 1.5 ft3 cylinder @ 2,200 psig. The system containsthe following lengths of schedule 40 pipe. (Actual ID not required for calculation) * 295 ft. 4 inch * 92 ft. 3 inch * 243 ft. 2 inch What is the equalized pressure when one entire bottle is introduced? The pressure test was left for 24 hours, at the time of filling the pipes temperature was 80oF. What would the gauge read if the temperature dropped to 52oF?
a. 89.138 pisg b. 83.752 psig
30
What is the required pressure test for a 2-inch steel gas pipe running under a driveway, served by a 5 psig meter set?
100 psi 180 minutes
31
You are called on to commission an installation of a 3 475 000 Btu natural gas boiler. * Excess air set at 23% * Stack diameter 14 inch * Combustion chamber and heat exchanger pass volume 152 ft3 * Gross stack temperature 405 deg. F * Ambient temperature 73 deg. F How long will it take to purge the 1,532 ft 8 inch gas line with nitrogen?
15.32 minutes
32
Where is the control line installed on a regulator with external registration?
Approximately 5 to 10 pipe diameters downstream
33
What is the cross-sectional area of a duct that will pass 4,500 cfm of air at a velocity of 900 fpm? a. 5 square feet b. 25 square feet c. 900 square feet d. 4,500 square feet
a. 5 square feet
34
calculate the output of a burner that can raise the temperature of 40 imperial gallons of water from 40 °F to 140 °F in 30 minutes. a. 4,000 btu b. 8,000 btu c. 40,000 btu d. 80,000 btu
d. 80,000 btu
35
How long will it take to complete one revolution of the meter test dial under the following conditions? * Clocked input 2,000 mbh * Test dial 5 cu ft * Local atmospheric pressure is 13.9 psia * Gas temperature is 20 deg F * Meter pressure is 20 psig * CV is 1000 btu/cu ft a. 8.9 seconds b. 10.2 seconds c. 20.7 seconds d. 22.4 seconds
d. 22.4 seconds
36
Which of the following has NO effect on flow rate through an orifice? a. pressure drop b. area c. specific gravity d. calorific value
d. calorific value
37
Calculate the flow rate of an orifice under the following conditions: * Natural gas * K factor is .85 * Diameter of orifice is ¼ inch * Manifold pressure is 0.25 psig a. 20 cu ft b. 236 cu ft c. 278 cu ft d. 4815 cu ft
b. 236 cu ft 1658x.85x(.250(2)x.7854)x square 27.7 /4 7/.6094
38
By what percentage would the input of an appliance increase if the manifold pressure of 4 inches wasincreased to 6.5 inches? a. 2.7% b. 16% c. 27% d. 60%
c. 27%
39
The Mechanical Engineer requires a 300 feet length of 6 inch (schedule 40) yellow jacket pipeinstalled underground, to be tested to 200 psig. Calculate the number 1.5 cubic foot Nitrogen cylinders at 2200 psi pressure that are required to do this test. NOTE: manifold the cylinders if more than one is required a. 1 b. 2 c. 4 d. 6
c. 4
40
What is the purge velocity required in a piping system? a. 2 ft sec b. 2 ft min c. 200 ft sec d. 200 ft min
d. 200 ft min
41
A new piping system consists of 600 feet of 8-inch pipe. Nitrogen bottles are to be manifolded for the piping purge. By code how long would it take to safely purge the piping? a. less than 4 min b. 6 min c. 12 min d. More than 15 min
b. 6 min ?
42
The pipe in question #41 also needs a purge point opening. What size is required? a. ½ inch b. ¾ inch c. 1 inch d. 1 ¼ inch
c. 1 inch squared (8(2)/60)
43
A 100-pound propane cylinder has WC 239 stamped on the neck ring. This means what? a. 239 psi of water column b. 239 gallons of water capacity c. 239 pounds of water capacity d. 239 is the maximum working pressure
c. 239 pounds of water capacity
44
When using a Propane / Air mix for a standby fuel, why are we not concerned of an explosion in the piping system? a. the flow velocity is greater than the flame speed b. it is impossible to ignite a gas air mix in a piping system c. the mixture is too lean to burn d. the mixture is too rich to burn
d. the mixture is too rich to burn
45
Calculate the input of an appliance that uses 0.33 us gallons of liquid propane in 40 minutes? a. 19,800 btu b. 29,800 btu c. 44,669 btu d. 90,241 btu
c. 44,669 btu
46
A natural gas boiler has an input of 1,200 mbh. When using a 55% propane 45% air standby fuel, how long would it take to consume 8,000 lbs of liquid propane? a. 9 hours b. 144 hours c. 360 hours d. 480 hours
b. 144 hours
47
Calculate the flow increase if a 5-psig natural gas piping system is changed from 2 inch schedule 40 to 3 inch schedule 40 plastic pipe? a. 14 % b. 28 % c. 141 % d. 281 %
d. 281 % (d2/d1)2
48
Critical flow in a regulator occurs when the velocity of a gas reaches? a. Sonic velocity b. 200 feet/second c. Maximum droop d. Pressure Droop in excess of 15%
a. Sonic velocity
49
How can a worker and monitor regulator be alternated? a. switch the positions of the regulators b. switch the position of the sensing lines c. switch the set points on the regulators d. switch the springs in the regulators
c. switch the set points on the regulators
50
an appliance regulator must be a Lock-Up Type when? a. always b. inlet pressure exceed ½ psig c. if the burner is over 400,000 btus d. on appliances that are equipped with intermittent or interrupted ignition
b. inlet pressure exceed ½ psig (B149.3 – 4.6)
51
Why is it important to add excess air to the combustion chamber? a. to eliminate the need for dilution air b. to ensure complete combustion c. to ensure stoichiometric combustion d. so the exhaust gases will not damage the appliance
b. to ensure complete combustion
52
Which appliance requires more total air to operate? a. 1,000 mbh natural gas atmospheric boiler with draft control b. 1,000 mbh propane gas boiler with 30% excess air and draft control c. 2,300 mbh natural gas boiler with 25% excess air without draft control d. 500 kw natural gas boiler operating with 50% excess air without draft control
a. 1,000 mbh natural gas atmospheric boiler with draft control
53
If a natural gas and propane appliance were fired using the same input rate, one would conclude that: a. both have the same air requirements however natural gas produces more CO2 b. both have the same air requirements however propane gas produces more CO2 c. propane gas burns with less air and a higher CO2 percentage when compared to natural gas appliances d. natural gas appliances use less combustion air and achieve a lower CO2 percentage when comparedto propane appliances
b. both have the same air requirements however propane gas produces more CO2
54
A natural gas appliance has an input of 3,000,000 btu/hr. How many cubic feet of CO2 will beproduced per hour? a. 300 b. 600 c. 2400 d. 3000
d. 3000
55
the appliance from above is converted to burn propane gas. How many cubic feet of CO2 will itproduced per hour? a. 1200 b. 3000 c. 3600 d. 4800
c.3600
56
size the combustion air grill for the following appliances installed in this mechanical room: * one 1,100 mbh steam boiler with draft control * one 350 mbh hot water heater with draft control * grill rated at 60% a. 10” x 12” b. 10” x 14” c. 15”x 20” d. 20”x 20”
c. 15”x 20”
57
Why is barometric damper used with a fan assisted appliance? a. a barometric damper helps increase the velocity of the flue gases b. a barometric damper can be adjusted to provide accurate air-gas mixing c. a barometric damper can help develop a positive pressure in the flue collar d. a barometric damper can provide a controlled negative pressure at the flue collar
d. a barometric damper can provide a controlled negative pressure at the flue collar
58
Backfire is a concern in which classification of industrial combustion systems? a. premix b. nozzle mix c. chamber mix d. partial pre-mix
a. premix
59
Which of the following switches is considered a primary safety switch on a boiler? a. air flow switch b. operating aquastat c. low water cutoff switch d. high fire proving switch
c. low water cutoff switch
60
A primary controller is designed to provide a safe start check. This means it first checks: a. if all wiring is complete b. if a flame signal is detected c. if suitable gas pressure is available d. if the proof of closure switch is closed
b. if a flame signal is detected
61
he best position for a flame rod in relation to a pilot burner is: a. over the pilot flame b. under the pilot flame c. to the side of the pilot flame d. all the above locations are equal in performance
c. to the side of the pilot flame
62
On a call for heat a 7890 primary controller will not start. You observe that the power light on thecontroller is on and all other display lights are off. From the list below what is the problem? a. a flame signal is sensed b. the low water cut off is open c. the appliance firing valve is closed d. there is no measurable flame signal
b. the low water cut off is open
63
for best results when sighting a pilot flame with a UV sensor you should sight the: a. the middle 1/3 of the pilot flame b. the hottest part of the flame (the tip) c. the first 1/3 of the pilot flame (closest to the burner nozzle) d. the last 1/3 of the pilot flame (furthest from the burner nozzle
c. the first 1/3 of the pilot flame (closest to the burner nozzle)
64
A hot water boiler equipped with a forced draft burner and an interrupted pilot shall have a proven purge sufficient to provide: a. a volume of air equal to the volume of the combustion zone and flue passes b. the volume of air equal to twice the volume of the combustion zone and flue passes c. the volume of air equal to four times the volume of the combustion zone and venting system d. the volume of the air required to four times the volume of the combustion zone and flue passes
d. the volume of the air required to four times the volume of the combustion zone and flue passes
65
A valve train is equipped with a high and low pressure switch. If the manifold gas pressure is 10 psig,what is the proper pressure setting for the low pressure switch? a. 2.5 psi b. 5 psi c. 7.5 psi d. 9 psi
b. 5 psi %50
66
A single quick opening solenoid valve can not be used as a main burner valve because? a. quick opening valves are prone to seat failures b. solenoid valves are not positive seated c. quick opening valves are prone to rough light-offs d. quick opening valves may cause a main burner to flash back
c. quick opening valves are prone to rough light- offs
67
referring to the last question: what pressure should the high pressure switch be set at: a. 7.5 psi b. 12 psi c. 12.5 psi d. 15 psi
c. 12.5 psi %125
68
A boiler is firing on natural gas. Calculate the volume of flue gases leaving the flue outlet under thefollowing conditions: * Input 3,000 mbh * Excess air set at 25% * Ambient air temp 60 deg F * Exhaust temp 500 deg F a. 1154 cfm b. 1246 cfm c. 5208 cfm d. 5625 cfm
b. 1246 cfm
69
if you calculated the products of combustion at 52,923 cfh, you could conclude using a 12” stack thatthe velocity would be: a. 533 fpm b. 882 fpm c. 1,123 fpm d. 4,527 fpm
c. 1,123 fpm
70
a stack has a velocity of 800 fpm. Calculate the draft produced in inches Water Column: a. 0.16 b. 0.02 c. 0.03 d. 0.04
d. 0.04
71
A boiler with a power burner is firing at 10,000,000 btu’s, excess air is set at 25%. The duct is sized to meet the requirements of the B 149.1. Calculate the velocity through the combustion air duct if the boiler is operating at maximum input. Note: ambient air temp is 60 deg F and stack temperature is 400 deg F a. 3.9 fpm b. 600 fpm c. 900 fpm d. 1500 fpm
c. 900 fpm
72
Referring to the Vent sizing tables in the B149.1 code book. What would be the result if you were toinstall an appliance equipped with a fan that had an input below the min and max allowable value, listed in the tables? a. spillage at the draft hood b. excessive wetting time in the venting c. a lack of combustion air entering the appliance d. the furnace not being able to achieve its operating temperature
b. excessive wetting time in the venting the result of installing an appliance equipped with a fan that had an input below the minimum allowable value, as listed in the B149.1 code book vent sizing tables, would be b. excessive wetting time in the venting. This condensation can lead to corrosion and deterioration of the venting system, and in cold climates, potentially lead to icing at the vent termination, which can impede proper venting.
73
an appliance with an input of 20 million is set up with 25% excess air. What is the theoretical draftunder the follow conditions: * Ambient Temp is 60 deg F * Average Stack Temp is 400 deg F * Vent length is 35 feet a. 0.2 inches WC b. 1.35 inches WC c. 1.72 inches WC d. 3.77 inches WC
a. 0.2 inches WC
74
an appliance with a input of 30 million is set up with 25% excess air. What is its draft in inches watercolumn during prepurge when using a 24 inch diameter vent? a. 0.158 b. 0.166 c. 0.247 d. 0.497
c. 0.247
75
A redesigned 1,500,000 vertical flue boiler burner is to be equipped with 90 second safeties. What isthe minimum number of safety switches required by code? a. 1 pilostat b. 2 pilostat c. 3 pilostat d. 4 pilostat
b. 2 pilot stats
76
a vertical flue pass boiler utilizes an indoor-outdoor controller to adjust water temperature in relation to the outdoor temperature. If the outside air temperature decreases by 2 deg then the boiler will increase the water delivery temperature by 1 deg to the air handling units. If the boiler is to maintainthe correct water temperature for a 70 degrees outlet temperature, how many degrees increase of the water temperature would be required for an outside loss of 20 degrees? a. 5 b. 10 c. 15 d. 20
b. 10
77
a building has 5,600 sq feet of radiation installed designed for hot water at 170 deg F. which of thefollowing boilers would be able to maintain the required input? * PPF = 1.33 * boiler Eff is 75% a. 850 mbh b. 1,000 mbh c. 1,200 mbh d. 1,500 mbh
d. 1,500 mbh
78
A DFMA is designed to provide 30,000 cfm of air at 75 deg F to a building. When the outsidetemperature is 0 deg F, what is the input to the DFMA? a. 2,250 mbh b. 2,700 mbh c. 3,000 mbh d. 3,600 mbh
b. 2,700 mbh
79
A DFMA is discharging 18,000 cfm of air at 75 deg F. calculate the volume of air entering theDFMA (before profile plates) when the outside temperature is 20 deg F? a. 4,800 cfm b. 16,150 cfm c. 20,062 cfm d. 67,500 cfm
b. 16,150 cfm
80
A DFMA unit is designed to deliver 25,000 cfm at 75 deg F. the burner area is 2.2 square feet andprofile plates opening is 10 square feet. Determine the velocity across the burner? a. 2,500 fpm b. 2,800 fpm c. 3,000 fpm d. 3,200 fpm
80. d. 3,200 fpm
81
A DFMA unit is designed to operate at 3,200 fpm across the profile plates. At this velocity thepressure drop will be approximately: a. 0.2 in wc b. 0.4 in wc c. 0.6 in wc d. 0.8 in wc
c. 0.6 in wc need formula
82
When a boiler is monitored by a PLC, the flame safeguard will be monitored by: a. central processor b. primary controller c. programming device d. Program Logic Controller
b. primary controller
83
How do you obtain installation approval for a natural gas boiler custom made for a client? a. make application to the gas utility b. make application to the enforcing authority c. make application to the boiler inspection branch d. make application to the appliance manufacturer
b. make application to the enforcing authority
84
With pilot and main firing valves closed, what test device is required to check the operation of aprogrammable controller? a. a Jumper b. a Multi-meter c. a flame simulator d. a pressure gauge
c. a flame simulator
85
According to Code: on commissioning of a new appliance, the first dry cycle of the control system isto determine what? a. Movement or position of air dampers b. Check detector signal during ignition is zero c. Simulate flame failure of air flow and ensure ignition does not occur d. Operate appliance with main gas valve in closed position to ensure that the pilot safety is operating
a. Movement or position of air dampers
86
Calculate the BTU/ hour of a burner required to melt 250 lbs of lead in 12 minutes under the followingconditions: * Lead starting temperature is 60 deg F * Specific heat of solid lead = 0.032 btu/lb * Latent heat of fusion = 9.9 btu/lb * Fusion temperature = 621 deg F a. 6900 btu b. 17,400 btu c. 34,800 btu d. 87,000 btu
c. 34,800 btu
87
Determine the closest input rating for an appliance under the following conditions: * Orifice diameter is 3/16th * Manifold pressure is 4 inches WCOrifice K factor is 0.8 * Calorific value of fuel is 1050 btu/cu ft a. 14,000 btu b. 95,000 btu c. 100,000 btu d. 679,000 btu
c. 100,000 btu
88
What percentages are generally used when Propane-Air is used for a standby/backup fuel? a. 45% propane – 55 % air b. 50% propane – 50 % air c. 55% propane – 45 % air d. 60% propane – 40 % air
c. 55% propane – 45 % air
89
A 1,000 mbh natural gas appliance is converted to use a 50% air – 50% gas mix. When the appliance isfired on the back-up fuel what is its input? a. 866,000 btu b. 1,050,000 btu c. 1,120,000 btu d. 1,730,000 btu
a. 866,000 btu 50/50=.8SG .6/.8=.75 square root = .866 1000000*.8660= 866,000 right answer wrong formula
90
What allows a service type regulator to lock-up faster and closer to the set point? a. It uses a lever for mechanical advantage b. The pitot tube senses the area of reduced pressure c. The diaphragm is directly connected to the orifice disk d. High pressure gas increases the velocity through the vena contracta
a. It uses a lever for mechanical advantage
91
During normal operation a single ported balanced regulator is found to be hunting, from the list belowwhat is the most likely cause? a. very low flow rates b. very high flow rates c. oversized regulator vent lines d. undersized regulator vent lines
d. undersized regulator vent lines
92
Which of the listed regulators will have the least amount of droop? a. appliance regulator b. pilot operated regulator c. single ported regulator d. double ported regulator
b. pilot operated regulator
93
Which of the following detectors should be checked to see if they detect a flame with only the ignitiontransformer turned on? a. PB cells b. flame rod c. infrared detectors d. ultra violet detectors
d. ultra violet detectors
94
Which of the following detectors should be checked to see if they detect any hot refractory. a. PB cells b. flame rod c. infrared detectors d. ultra violet detectors
c. infrared detectors
95
When working on a double block and bleed valve train, you expect the bleed valve to be piped in seriesand wired in parallel. You would also expect the bleed valve to: a. to be a normally open solenoid b. to be a normally closed solenoid c. be equipped with internal relief valve d. be equipped with a leak detector in the bleed por
a. to be a normally open solenoid
96
During a run cycle of a 7890 controller the operating aquastat’s contacts remain closed and the high limitaquastat contacts have opened: the controller is a recycle type, you would expect: a. the primary controller to lock out b. the appliance to reduce it’s input to low fire c. the appliance to restart once the high limit reset button is depressed d. the appliance to attempt restart once the temperature returns to normal values
c. the appliance to restart once the high limit reset button is depressed
97
To open the latch on a Latch Valve, you must establish air pressure and: a. reset the latch handle b. close the FM valve and reset latch c. turn power on to the ignition system d. reset all the primary controllers before latch can be opened
b. close the FM valve and reset latch
98
On switch over to the standby fuel the flame became longer and was yellow tipping, what would you suggest is the problem and what would you suggest as a solution.
Add more primary air
99
A direct fired make up air heater using a Honeywell 7800 series for primary control is found to be locked out. List the possible reasons for this situation.
No pilot gas, faulty ignition, high or low differential air pressure switches tripped (dirty air filters, blown fan belt), poor or no flame signal, flame rod grounded
100
A 2.5" (schedule 40) 5 psig natural gas line is 645 feet long (fittings included) and carries a load of 7000 cfh. Can an additional 4000 cfh. be added to the load withoutexceeding the allowable pressure drop.
Yes / 11,305.373 using NPS pipe size
101
Which of the following steam boilers could service the greatest amount of gross EDR? Show all calculations. a. A boiler rated at 40 BHP b. A 70% efficient boiler with a rated input of 2000 mbh c. A 75% efficient boiler with a rated input of 475 kw
a 70% efficient boiler with a rated input of 2000 mbh
102
Explain the purpose of a pilot turndown test. List, in order, the steps taken when conducting a pilot turn down test.
To ensure safe light-off of the main burner
103
Draw and label a simple wiring diagram of a control system that uses two Honeywell 7895 primary controls for a single burner that has two pilots. Indicate where the following components would be located on the diagram. Sequence the operation of the control system, from a call for heat to main burner firing.
104
A mechanical room contains the following natural gas appliances. * One atmospherically fired HWT rated at 600 mbh * One hot water boiler rated at 3000 mbh with barometric draft control. * One steam boiler at 6000 mbh without draft control Determine the following: a. The free area of the combustion air opening. b. The free area of the ventilation air opening. c. If the grills are 65% free area, calculate the area of the combustion air grill opening to beprovided in the outside wall.
a. 528 in2 b. 53 in2 c. 813 in2
105
A burner system uses an atmospheric regulator and a mixer to provide a pre-mix to the burner. Pressure variations in the combustion chamber are affecting the burner operation. Explain how to remedy this problem.
Add a sensing line from the combustion chamber to the top of the regulator
106
Under what conditions can a natural gas appliance in excess of 400 mbh have a flamefailure response time of 90 seconds?
B149.3 – 12.1.1 (c) (iii) 90 s or less for gases lighter-than-air and 20 s or less for gases heavier-than-air used in an atmospherically fired appliance with an unrestricted vertical flow of combustion products where the maximum input of each burner or burner unit is 1 000 000 Btuh (300 kW), provided that there is a supervised pilot for each burner unit wired in series with the main burner fuel safety shut-off valve(s)
107
Name 3 types of flame detectors used on high input gas appliances, describe one opticalsensor in detail. List any advantages or disadvantages when compared to the other two flame detectors.
Flame rod, infra-red, ultraviolet
108
A gas piping system is tested using a 1.5 cu/ft 2200 psig cylinder of nitrogen. The system contains the following lengths of schedule 40 piping. (Actual inside diameter not required for calculation) * 325 feet of 4 inch * 85 feet of 3 inch * 260 feet of 2 inch a. Calculate the equalized gauge pressure on the system when the entire cylinder isintroduced into the system. (use nominal pipe size) b. If the ambient temperature was 74 deg °F when the nitrogen was introduced into the system, and the temperature dropped to 45 deg °F. What pressure would the test gauge indicate?
a. 83.099 psig b. 77.786 psig need simple formula
109
A mechanical room contains a natural gas boiler rated at 1200 mbh. The boiler is required to run 24 hrs a day to maintain the heating requirements of the building. The room is supplied with gas from a 5-psig meter that has a 10 cu/ft test dial. A new hot water heater rated at 90 kw has been installed. The meter was clocked with just the boiler operating and one revolution of the test dial took 45 seconds, on start-up of the hot water heater the meter was clocked with both units firing, the time for one revolution changed to 34 seconds. With this information answer the following: a. What is the clocked input of the boiler? b. Based on the clocked input, is this boiler over-fired under-fired, or acceptable within 10% of its rated input? c. What is the clocked input of just the hot water heater? d. Based on the clocked input, is this hot water heater under-fired, over-fired or acceptable within 10% of its rated input?
a. 1,072 Mbh b. 1,200 x .10 = 1,080 Mbh 1,072 is underfired more than 10% - NO GOOD c. 1,418 Mbh – 1072 = 346 Mbh 346,000 Btu d. 90kW = 307,080 Btu 346,000 Btu - overfired NO GOOD
110
Draw and label the components of pressure regulator bypass station, explain valve positions and pressure settings.
All valves open except for MSOV 1. This allows the bypass regulator to exercise. Bypass regulator set 2 unit higher than the main regulator
111
The DFMA on a building has the capacity of 16,500 cfm. * Design temperatures are 0-65 degrees F. * Minimum temperature rise is 4 degrees F. * Minimum velocity is 2200 fpm across the burner * Cross sectional area of the burner is 2 sq. ft. Calculate the following: a. maximum input b. maximum velocity across the burner c. minimum pressure drop across the burner d. maximum pressure drop across the burner e. the free area of the profile opening f. what will be the ppm of CO2 at 49 degrees F?
111. a. 1,287 Mbh b. 2,511 fpm c. 0.302 “w.c. d. 0.393 “w.c. e. 6.57 ft2 f. 0.032% or 320 PPM
112
A valve train on a 5 psi system must have the high and low pressure gas switches replaced. a. What pressure do you set them at? * Low pressure? * High pressure? b. Where are the switches located?
a. Low pressure: 50% below lowest operating pressure (set @ high fire) / High pressure: 25% above highest operating pressure (set @ low fire) b. Low - upstream of SSOVs and downstream of regulator / High - downstream of SSOVs
113
Draw, label and explain the operation of a relief over pressure protection system.
Relief Regulator (or Backpressure Regulator/Relief Valve): Function: This regulator acts as a safety device. Its purpose is to open and release gas to a safe location (usually the atmosphere, or a vent stack) if the pressure in the downstream system builds up beyond a predetermined setpoint. This prevents the system from exceeding its maximum safe operating pressure. Position: It's installed downstream of the main regulator, often on a bypass line or directly in the main line, sensing the system pressure. Setpoints: The relief regulator is set to a pressure slightly higher than the normal operating pressure maintained by the main regulator, but below the maximum allowable working pressure of the system.
114
115
Draw and label the required components found on a valve train for anappliance operating under the following conditions. input 2500 mbh power burnersupply pressure greater than .5 psig. manifold pressure less than .5 psig. Draw and label the Pilot fuel train for above mentioned burner
116
Under what conditions is over pressure protection a requirement on a gas piping system
When gas is supplied by a line pressure regulator
117
Define and explain the term aspirating mixer. Name the device normally associated with the term defined in the previous question (OPP)
Airflow’s negative pressure promotes the flow of gas. Proportional Regulator, zero governor, balance regulator
118
Under what conditions is a proven pre purge a requirement on a gas fired appliance
When either an intermittent or an interrupted pilot or a direct transformer spark igniter is used to light the main burner and the combustion air supply is by mechanical means
119
What is the maximum trial for ignition time for a burner rated at 1000 Mbh that usesdirect spark to ignite the main burner?
5 seconds
120
Identify the electrical symbols and explain the operation of each if applicable.
a. normally closed contact; b. Float switch c.normally closed momentary switch; d. air pressure switch; e. earth ground; f. relay coil; g. temperature actuated switch; h. flow switch; i. double pole double throw switch; j. start open timer switch; k. overloads; l.proximity switch
121
Your services are called upon to commission a new installation of a 2,500,000 btu natural gas boiler. The new gas line has been tested with compressed air for 6 hrs, with no leaks. The inspector requires that you purge the piping system of air using Nitrogen before you gasify the system, and asks for your calculations before you start the purge. The inspector also asks for some calculations before you start the boiler commissioning. Answer those questions using the information provided. * 6” gas line 1400’ long * Excess air to be set at 25% * Stack diameter is 12” * Combustion chamber and flue passages have a volume of 125 cu/ft * Gross stack temperature is 375 deg F. * Ambient temperature is 70 deg F a. How long will it take to purge the line with nitrogen? b. What’s the minimum TOE size for the purge point opening at each end of the pipe? c. The R7800 requires a new purge card. Show your calculation to determine how many seconds are required for the pre purge card for this boiler. d. What is the expected draft of the flue product in the stack in inches WC
a. 14 minutes b. 0.775 “ diameter c. 53.33 seconds high fire @60% = 88.89 seconds d. 0.079 “wc (velocity = 1128.346)
122
A gas appliance uses a Honeywell 7895 with a UV detector for a flame safeguard. What checks would you make on start-up to ensure the flame safeguard system is working properly
Pre-Purge Check Ignition and Pilot Flame Proving Main Flame Ignition and Proving Flame Failure Response Test (Simulated Flame Failure) Ignition Spark Check (Trial for Ignition) Limit Control Check Post-Purge Check System Lockout and Reset
123
On start-up of a high input forced draft burner operating on natural gas, an analysis of the flue products is taken. What percentages of carbon dioxide and oxygen would you expect to find?
Calculate on excess air of 20% to 25% → expect 9% C02 and 4% O2
124
Sequence the startup of the supervisory system found on the attached drawing.
125
If an appliance has an input of 750 mbh, what is the maximum allowable input in btuh for the following? a. an intermittent pilot b. an interrupted pilot c. a continuous pilot
a. an intermittent pilot=37500 %5 b. an interrupted pilot=37500 %5 c. a continuous pilot=22500 %3
126
At a pressure of 2” w.c. a ½” diameter orifice will pass 534 cubic feet of natural gas per hour. a. What would the flow be through a ¾” diameter orifice under the same conditions and pressure? b. What would the flow be through the ½” diameter orifice if the pressure was increased to 10” w.c.?
a. 1204.225 ft3 b. 1194 ft3
127
You are required to pressure test a piping system of 450 ft 4” diameter schedule 40 pipe that is installed to deliver 20 psig natural gas to a central boiler room. Atmospheric pressure is 14.73 psia, and the ambient temperature is 60 ºF a. What is the required test pressure and time duration? b. What will the gauge pressure read if the test was left on overnight and the ambient temperature dropped to 30 ºF? c. How many nitrogen bottles are required for the pressure test? d. What is the purge time required when nitrogen purging? e. How many bottles are required for the purge f. What is the PPO?
a. 50 psig for 180 minutes b. 46.266 c. one bottle d. 4.5 minutes e. one bottle f. 0.516 inches diamete