A.5. Robertson Flashcards

(15 cards)

1
Q

Why the NCCI moved from 17 limits to 5 for ELFs

A
  1. ELFs at any pair of excess limits are highly correlated across classes.
  2. Limits below $100,000 were heavily represented in the prior 17 limits.
  3. They wanted to cover the range of limits commonly used for retrospective rating.
How well did you know this?
1
Not at all
2
3
4
5
Perfectly
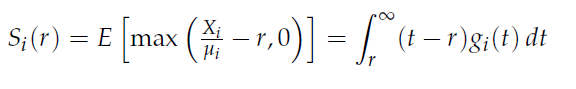
2
Q

General excess ratio formula

A
How well did you know this?
1
Not at all
2
3
4
5
Perfectly
3
Q

Normalized excess ratio function for injury type i

A
How well did you know this?
1
Not at all
2
3
4
5
Perfectly
4
Q

Injury type weighted excess ratios

A
How well did you know this?
1
Not at all
2
3
4
5
Perfectly
5
Q

Credibility weighted class excess ratio vectors (Robertson)

A
How well did you know this?
1
Not at all
2
3
4
5
Perfectly
6
Q

Other credibility options considered

A
How well did you know this?
1
Not at all
2
3
4
5
Perfectly
7
Q

Measuring distance between vectors

A
How well did you know this?
1
Not at all
2
3
4
5
Perfectly
8
Q

Why the NCCI didn’t use standardization

A
  1. The resultant hazard groups using standardization didn’t differ much from not using it.
  2. Excess ratios at different limits have a similar unit of measure, which is dollars of excess loss per dollar of total loss. Standardization would have eliminated this common denominator.
  3. All excess ratios are between 0 and 1, while standardization could have led to results outside this range.
  4. There is a greater range of excess ratios at lower limits, and this is a good thing since it is based on actual data (compared to excess ratios at higher limits being based more on fitted loss distributions). Standardization would have given this real data less weight.
How well did you know this?
1
Not at all
2
3
4
5
Perfectly
9
Q

Weighted k-means algorithm

A
How well did you know this?
1
Not at all
2
3
4
5
Perfectly
10
Q

Hierarchical clustering

A

Hierarchical clustering means any additional cluster would be a subset of a single existing cluster. Non-hierarchical clustering methods seek the best partition for any given number of clusters.

How well did you know this?
1
Not at all
2
3
4
5
Perfectly
11
Q

Desirable optimality properties for k-means

A

K-means maximizes the equivalent of R2 from linear regression, which means maximizing the percentage of total variation explained by the hazard groups. This is equivalent to stating that k-means minimizes the within variance and maximizes the between variance, which means the hazard groups will be homogeneous and well separated.

How well did you know this?
1
Not at all
2
3
4
5
Perfectly
12
Q

Test statistics used to decide # of hazard groups

A
How well did you know this?
1
Not at all
2
3
4
5
Perfectly
13
Q

Why the NCCI didn’t rely on the CCC test statistic showing 9 groups

A
  1. Milligan and Cooper found the Calinski and Harabasz statistic outperformed the CCC statistic.
  2. The CCC statistic deserves less weight when correlation is present, which was the case.
  3. The selection of # of hazard groups ought to be driven by the large classes where most of the experience was concentrated. Using these highly or fully credible classes showed 7 as the optimal number.
  4. There was crossover in the excess ratios between hazard groups when using 9 groups, which is something that isn’t appealing in practice.
How well did you know this?
1
Not at all
2
3
4
5
Perfectly
14
Q

Underwriter considerations

A
  1. Similarity between class codes that were in different groups.
  2. Degree of exposure to automobile accidents in a given class.
  3. Extent heavy machinery is used in a given class.
How well did you know this?
1
Not at all
2
3
4
5
Perfectly
15
Q

3 key ideas of hazard group remapping

A
  1. Computing excess ratios by class
  2. Sorting classes based on excess ratios
  3. Cluster analysis
How well did you know this?
1
Not at all
2
3
4
5
Perfectly