C.3. Bernegger Flashcards

(10 cards)

1
Q

Exposure curve definition and formula using Maximum Possible Loss

A
How well did you know this?
1
Not at all
2
3
4
5
Perfectly
2
Q

Portion of expected ground up loss in a layer using an exposure curve based on Maximum Possible Loss

A
How well did you know this?
1
Not at all
2
3
4
5
Perfectly
3
Q

Normalized exposure curve formula and first 2 derivatives

A
How well did you know this?
1
Not at all
2
3
4
5
Perfectly
4
Q

Conditions for a valid exposure curve on [0,1]

A
How well did you know this?
1
Not at all
2
3
4
5
Perfectly
5
Q

Formula for µ

A
How well did you know this?
1
Not at all
2
3
4
5
Perfectly
6
Q

Formula for the CDF F(d)

A
How well did you know this?
1
Not at all
2
3
4
5
Perfectly
7
Q

Formula for probability of a total loss

A
How well did you know this?
1
Not at all
2
3
4
5
Perfectly
8
Q

Rank of 0, 1, µ, and p

A
How well did you know this?
1
Not at all
2
3
4
5
Perfectly
9
Q

Valid values for g and b parameters for MBBEFD curve

A
How well did you know this?
1
Not at all
2
3
4
5
Perfectly
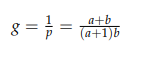
10
Q

Relation between g parameter and a and b parameters, and relation to p

A
How well did you know this?
1
Not at all
2
3
4
5
Perfectly