Algebra Flashcards

(28 cards)

1
Q
A
How well did you know this?
1
Not at all
2
3
4
5
Perfectly
2
Q

What does it mean when a problem says “express y in terms of x”

A
How well did you know this?
1
Not at all
2
3
4
5
Perfectly
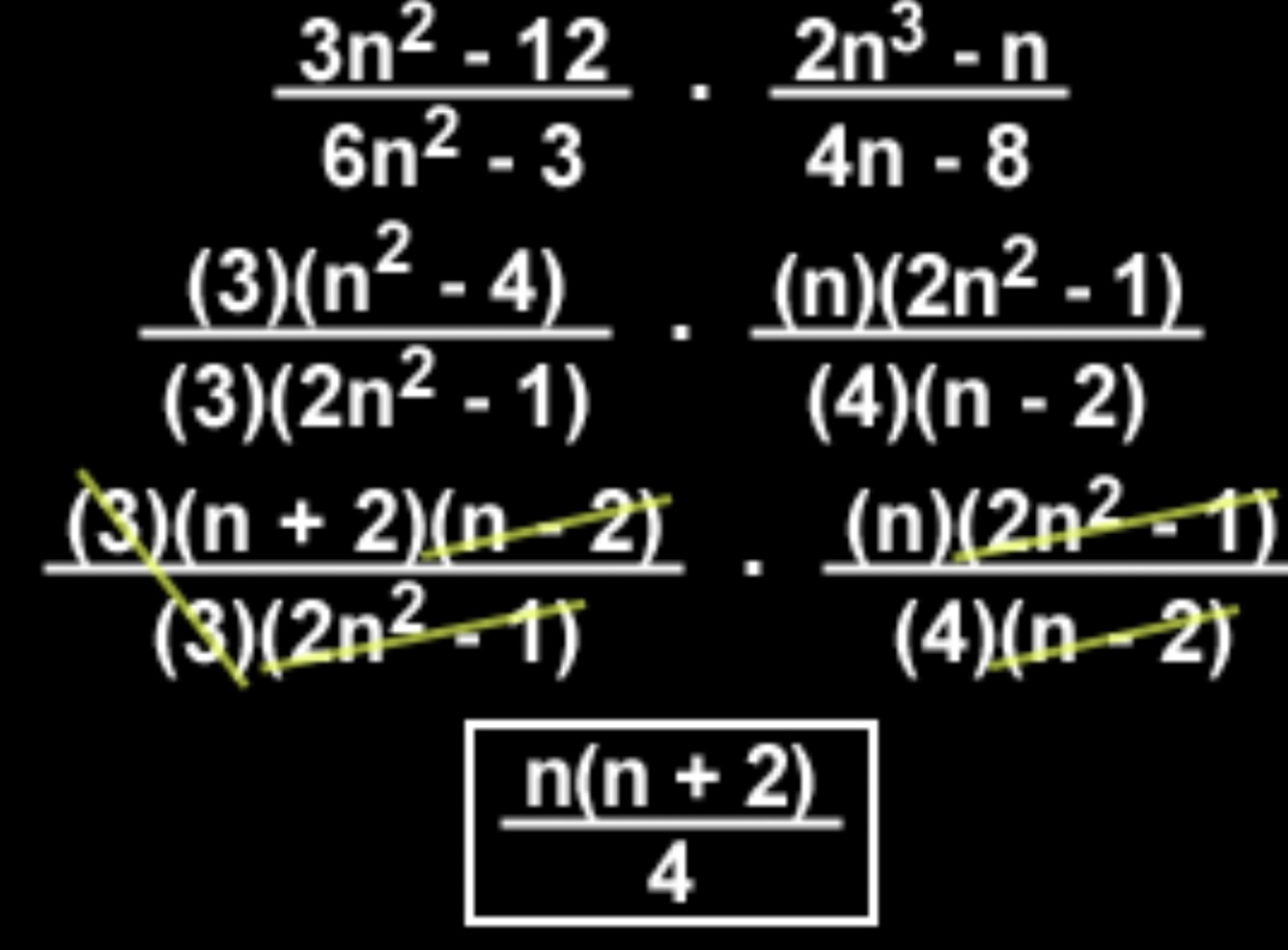
3
Q

Simply the following :

A
How well did you know this?
1
Not at all
2
3
4
5
Perfectly
4
Q

What does it suggest when you see :

A x B = 0 Or x(x + 100) = 0

A
How well did you know this?
1
Not at all
2
3
4
5
Perfectly
5
Q

What must you do to a quadratic equation before you factorise and solve it?

A

Quadratic equations should be set equal to zero and should be in the form below :

How well did you know this?
1
Not at all
2
3
4
5
Perfectly
6
Q
A
How well did you know this?
1
Not at all
2
3
4
5
Perfectly
7
Q
A
How well did you know this?
1
Not at all
2
3
4
5
Perfectly
8
Q
A
How well did you know this?
1
Not at all
2
3
4
5
Perfectly
9
Q
A
How well did you know this?
1
Not at all
2
3
4
5
Perfectly
10
Q
A
How well did you know this?
1
Not at all
2
3
4
5
Perfectly
11
Q
A
How well did you know this?
1
Not at all
2
3
4
5
Perfectly
12
Q

What are the six testing cases, for unknown numbers, algebraic inequalities, integers

A
How well did you know this?
1
Not at all
2
3
4
5
Perfectly
13
Q
A
How well did you know this?
1
Not at all
2
3
4
5
Perfectly
14
Q
A
How well did you know this?
1
Not at all
2
3
4
5
Perfectly
15
Q

A. When can you add inequalities

B. When can you subtract inequalities

A

A. You can add inequalities when they are facing same direction and are the same sign

B. You can subtract inequalities when they are facing opposite direction.

How well did you know this?
1
Not at all
2
3
4
5
Perfectly
16
Q

Explain the following terms below :

19
Q

Translate the following words into math operations like (x, - , /, +) and inequalities.

20
Q
  1. In order to combine inequalities between a common term and two other terms, the common term must have what relation to the other inequalities ?
  2. If R < S and S < T, show the inequality S combined ?
  3. If A < C and T < C, the show the inequality?
A
  1. For combining to work, the common term must be greater than one term and less than another term, see question 2.
  2. R < S < T
  3. You cannot combine the inequality as both terms are less than C, one has to bigger and one has to be smaller than C for combination to work
21
Q

If all variables are positive integers where A > B and C > D, then which one is true?

  1. ( A + C ) > ( B + D )
  2. ( A + C ) < ( B + D )
  3. ( B + C ) > ( D + A )
  4. Cannot work out with the information provided
A
  1. ( A + C ) > ( B + D ) = Correct, we can add inequalities in same direction, they must be always in same direction to add them, for example plug in numbers where :

A = 5, C = 2, B = 11 , D = 8

( 5 + 11 ) > ( 2 + 8 )

22
Q

If all variables are positive integers where A > B and D < C, then which one is true?

  1. ( A - C ) < ( B - D )
  2. ( A - D ) > ( B - C )
  3. ( B - C ) > ( D - A )
  4. Cannot work out with the information provided
A
  1. ( A - D ) > ( B - C ), we can subtract inequalities that are facing opposite directions.

Suppose A = 20, B = 15, C = 12 , d = 10

Clearly 20 > 15 and 10 < 12, so :

(20 > 15) —(10 < 12) —————-
  10 > 3
23
Q
  1. Which one of these must be greater than number x :
  2. X + 2
  3. 2x
  4. X*2
  5. Which one of these must be less than Number B :
  6. B - 3
  7. B*2
  8. 3B
  9. 1 & 3
  10. All of them
A
  1. X + 2 is greater than x, adding any positive integer to any “number” makes it bigger
  2. One is the correct answer, subtracting any integer from negative or even positive number will make it smaller, it may be tempting to choose answer choice 4 but consider if B was to 0.
24
Q
  1. Express 5 < X < 17 as an absolute value inequality.
A

Answer = Find average between two (5+17/2 = 11), so both 5 and 17 are a distance of 6 from 11. Now you can set up equation

Answer = [ x - 11 ] < 6

25
26
Answer = 21
27
28
What does defined mean? And what does it mean in a fraction
Defined means a certain problem is solvable, like in a calculator a problem which is unsolvable will give undefined. Such as 0 in denominator. When you have defined in a question it means you cannot have a zero in the denominator.