Permutations and Combinations Flashcards

(14 cards)

1
Q

A. What is the formula for permutation and combinations

B. Does order matter for permutations or combinations

A
How well did you know this?
1
Not at all
2
3
4
5
Perfectly
2
Q

In counting what does “OR” & “AND” mean

A

OR means add, And means multiply

How well did you know this?
1
Not at all
2
3
4
5
Perfectly
3
Q

Which one out of (7, 11, 20, 64, 100) not factor of 10!

A

Answer = 11 is not a factor of 10!

Any factorial N! is divisible by all the integers less than N and all factorials less than N

How well did you know this?
1
Not at all
2
3
4
5
Perfectly
4
Q
A
How well did you know this?
1
Not at all
2
3
4
5
Perfectly
5
Q
A
How well did you know this?
1
Not at all
2
3
4
5
Perfectly
6
Q
A
How well did you know this?
1
Not at all
2
3
4
5
Perfectly
7
Q
A
How well did you know this?
1
Not at all
2
3
4
5
Perfectly
8
Q
A
How well did you know this?
1
Not at all
2
3
4
5
Perfectly
9
Q
A
How well did you know this?
1
Not at all
2
3
4
5
Perfectly
10
Q
A
How well did you know this?
1
Not at all
2
3
4
5
Perfectly
11
Q
A
How well did you know this?
1
Not at all
2
3
4
5
Perfectly
12
Q
A
How well did you know this?
1
Not at all
2
3
4
5
Perfectly
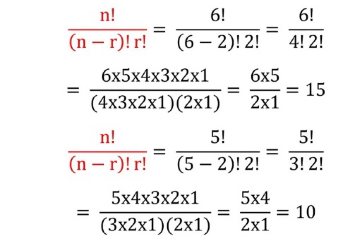
13
Q
A

Answer - 150 ways (15 x 10)

How well did you know this?
1
Not at all
2
3
4
5
Perfectly
14
Q

What does 0! mean

A
How well did you know this?
1
Not at all
2
3
4
5
Perfectly