Alkenes Flashcards

(22 cards)

1
Q

Alkene definition

A

An alkene is an unsaturated hydrocarbon.

How well did you know this?
1
Not at all
2
3
4
5
Perfectly
2
Q

Why are alkenes much more reactive than alkanes?

A
  • Because they are unsaturated there is scope to add atoms onto the molecule on either end of the double bond to make it saturated
  • Because the double bond has a high electron density it makes alkenes susceptible to reactions with molecules which have positive or δ+ charges (i.e. electrophiles)
How well did you know this?
1
Not at all
2
3
4
5
Perfectly
3
Q

Structure of Alkenes

A

Ethene is a planar molecule (and the bonding about all C=C bonds is also planar). This makes the bond angles approximately 120⁰.

How well did you know this?
1
Not at all
2
3
4
5
Perfectly
4
Q

Why do double bonds not rotate?

A

*The first bond of the double bond is formed by the overlap of 2s orbitals.

*The second bond of the double bond is formed by the overlap of one of the p orbitals from each carbon atom.
*These orbitals overlap above and below the plane of the double bond and merge together to form a π–orbital.

*The two p orbitals need to remain aligned with one another in order to maintain the π–orbital. If the bond did rotate the p orbitals would no longer overlap and it would break the second of the bonds in the alkene

How well did you know this?
1
Not at all
2
3
4
5
Perfectly
5
Q

Physical properties of Alkenes

A

Alkenes have no polar bonds and so only have Van der Waals intermolecular forces.

Each alkene has very similar physical properties to their equivalent alkane. (i.e. ethane is similar to ethene etc).

As with alkanes, the melting point and boiling point or alkenes increases as their chain length increased because the Van der Waals forces get larger.

Alkenes are insoluble in water.

How well did you know this?
1
Not at all
2
3
4
5
Perfectly
6
Q

How do alkenes react?

A

A double bond is almost twice as strong as a single bond, but because it is an area of high electron density it is susceptible to attack by ELECTROPHILES.

Electrophiles are electron deficient and so tend to have positive or δ+ charges. They are electron pair acceptors. Because alkenes are unsaturated other atoms can be added onto them to saturate the double bond.

How well did you know this?
1
Not at all
2
3
4
5
Perfectly
7
Q

What is a carbocation?

A

These are ions which have a positive charge on a carbon atom, and only exist for a very short amount of time before reacting further.

How well did you know this?
1
Not at all
2
3
4
5
Perfectly
8
Q

Positive inductive effect definition

A

The Positive Inductive Effect is the ability of an alkyl group to release electron density through a covalent bond

How well did you know this?
1
Not at all
2
3
4
5
Perfectly
9
Q

Stability of Carbocations & The Positive Inductive Effect

A

The more alkyl groups which are attached to the positively charged carbon, the more stable the carbocation is. This is due to the POSITIVE INDUCTIVE EFFECT

How well did you know this?
1
Not at all
2
3
4
5
Perfectly
10
Q

Electrophilic Addition reagents

A

alkene → haloalkane
HBr, HCl, Br2, Cl2

How well did you know this?
1
Not at all
2
3
4
5
Perfectly
11
Q

Electrophilic Addition with hydrogen halides

A

ethene + HBr → Bromoethene

Mechanism:
- arrow from double bond to H
-arrow from bond to Br

-+ on C
- arrow from Br- lone pair to C with +

How well did you know this?
1
Not at all
2
3
4
5
Perfectly
12
Q

Why is 2-bromopropane the major product in this reaction?

A

2-bromopropane is produced via a 2⁰ carbocation. This is more stable than a 1⁰ carbocation due to the positive inductive effect

How well did you know this?
1
Not at all
2
3
4
5
Perfectly
13
Q

Electrophilic Addition with halogens

A

ethene + Br2 → dibromoethene

Mechanism:
- arrow from double bond to Br
-arrow from bond to Br

    • on C
  • arrow from Br- lone pair to C with +
How well did you know this?
1
Not at all
2
3
4
5
Perfectly
14
Q

Explanation of Electrophilic Addition with halogens

A
  • C=C is e- rich
  • Br2 becomes polarised
  • Brδ+ attracted to C=C
How well did you know this?
1
Not at all
2
3
4
5
Perfectly
15
Q

Bromine test

A

Bromine water decolourises from orange to colourless, when added to an alkene

How well did you know this?
1
Not at all
2
3
4
5
Perfectly
16
Q

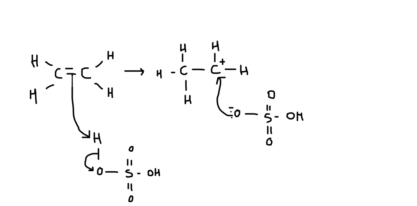
Electrophilic Addition with H2SO4

A

ethene + H2SO4 → ethylhydrogensulfate

Mechanism:
- arrow from double bond to H
-arrow from bond to O

    • on C
  • arrow from O- lone pair to C with +

ethylhydrogensulfate + H2O → ethanol + H2SO4

17
Q

Direct Hydration

A

ethanol produced
ethene + H2O(g) → ethanol (H3PO4 catalyst)

H2O = steam

18
Q

Addition Polymers defintion

A

long chain formed from many monomers
and no other product is formed

19
Q

Addition Polymers

A

Monomer= ethene

Polymer= polyethene ( H branches straight up no slanted)

one repeat unit:
-m‘n’ represents a big number
- repeating unit has a C-C single bond, not a double bond
- Single bonds extend beyond the brackets on either side of the repeating unit.

20
Q

Why are addition polymers not biodegradable?

A

Addition polymers have non polar C-C bonds they cannot be hydrolysed

21
Q

Properties of Polymers

A

The properties of some polymers can be altered through the use of plasticisers. These are small molecules which fit in the gaps between polymer chains, allowing them to slide past each other.

For example, PVC is rigid enough to make into drain pipes, but with the use of plasticisers can become flexible enough to make into aprons.

22
Q

Pollution by Plastics

A

plastics can only be melted and remoulded a finite number of times before their structural integrity starts to fail, at which point they need to be disposed of