Bonding Flashcards

(22 cards)

1
Q

Metallic Bonding Summary

A
  • left of periodic table
  • giant metallic lattice
  • strong electrostatic attraction between positive metal ions and sea of delocalised electrons
How well did you know this?
1
Not at all
2
3
4
5
Perfectly
2
Q

Ionic Bonding Summary

A
  • metal + non metal
  • giant ionic lattice
  • strong electrostatic attraction between negative and positive ions
How well did you know this?
1
Not at all
2
3
4
5
Perfectly
3
Q

Covalent Bonding Summary

A

macromolecular:
- diamond, graphite, silicone, SiO2
- covalent bonds between atoms

simple molecular:
- covalent between atoms
- weak intermolecular forces between molecules

How well did you know this?
1
Not at all
2
3
4
5
Perfectly
4
Q

Metallic Bonding

A

Strong electrostatic attraction of positive metal ions surrounded by a sea of delocalised electrons

How well did you know this?
1
Not at all
2
3
4
5
Perfectly
5
Q

Comparing the strength of metallic bonds

A

Bonding in Mg stronger than Na

*Mg has a greater charge of 2+
*Mg has twice as many e- in sea of delocalised e-
*Mg ions smaller, meaning greater charge density
*therefore attraction between Mg2+ ions and the delocalised e- is stronger

How well did you know this?
1
Not at all
2
3
4
5
Perfectly
6
Q

Properties of metals

A

Conductivity- all metals good conductors, delocalised e- help transfer energy and can flow

Malleable/ductile- rows of metal ions can slide past each other

Melting/boiling point- stronger they are, higher the BP/MP

How well did you know this?
1
Not at all
2
3
4
5
Perfectly
7
Q

What is a covalent bond

A

shared pair of e- between two atoms

How well did you know this?
1
Not at all
2
3
4
5
Perfectly
8
Q

Covalent structure and bonding

A

Diamond:
* each carbon has 4 covalent bonds
* high MP
* tetrahedral shape

Graphite:
* conducts electricity
* each C has 3 covalent bonds and a delocalised e-
* layers held together by weak intermolecular forces
* high MP

How well did you know this?
1
Not at all
2
3
4
5
Perfectly
9
Q

Simple molecular forces

A
  • intermolecular forces act between molecules
  • when a simple molecular substance melts or boils it is intermolecular forces that are broken
  • IMF are much weaker than covalent bonds so simple molecular compounds have low MP
How well did you know this?
1
Not at all
2
3
4
5
Perfectly
10
Q

What is an ionic bond

A

Strong electrostatic attraction between oppositely charges ions

How well did you know this?
1
Not at all
2
3
4
5
Perfectly
11
Q

Ionic structure and bonding

A
  • metal always positive ion
  • non metal always negative ion

high MP/BP
Electrical conductivity
Tend to be brittle and shatter easily

How well did you know this?
1
Not at all
2
3
4
5
Perfectly
12
Q

Ionic formulae

A
How well did you know this?
1
Not at all
2
3
4
5
Perfectly
13
Q

Coordinate bond

A

A shared electron pair which have both come from the same atom

behaves same as covalent bond (length, strength)

How well did you know this?
1
Not at all
2
3
4
5
Perfectly
14
Q

Valence shell electron pair repulsion theory

A

strength:
LP to LP > LP to BP > BP to BP

Strength of repulsion determines bond angle

Double bonds => bonding region (one bond drawn)

How well did you know this?
1
Not at all
2
3
4
5
Perfectly
15
Q

Shapes of molecules

A
How well did you know this?
1
Not at all
2
3
4
5
Perfectly
16
Q

What is Electronegativity

A

The power of an atom to attract the pair of electrons in a covalent bond

F = most electronegative

The factors which determine how electronegative an element are:
- The nuclear charge
- The atomic radius
- The shielding

Across Period 2 the electronegativity increases because:
The number of protons increases
The shielding remains the same
Therefore, the ability to attract electrons in a covalent bond increases.

17
Q

Polarity

A

Unsymmetrical, difference in electronegativity so produces covalent bond

central atom surrounded by different elements or LP = polar

18
Q

Intermolecular forces

A

Hydrogen bonding:
H-F
H-O
H-N

Permanent dipole-dipole:
Polar = difference in electronegativity

Induced dipole-dipole (Van der waals):
Non polar = no difference in electronegativity

19
Q

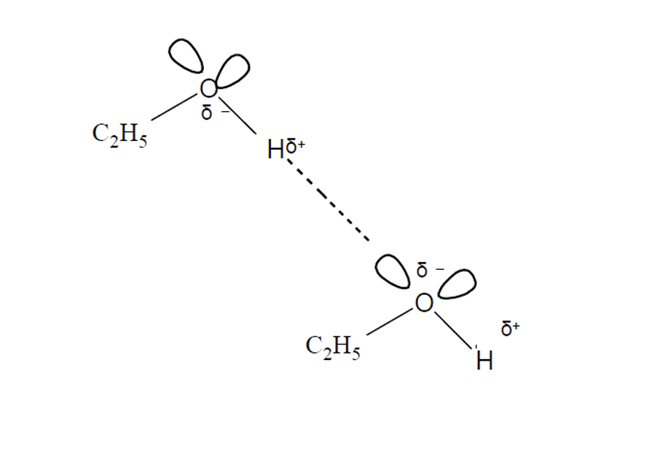
Hydrogen Bonding

A

When it occurs:
* Strongest intermolecular attraction
* Occurs between H (bonded to N, O, or F) and lone pair on a N, O, or F atom on another molecule

How does it arise?
* Very large difference in electronegativity between oxygen and hydrogen
* Creates a dipole on the O-H bond
* Lone pair on Oxygen atom in one molecule STRONGLY attracts a partially positive Hydrogen atom on a different molecule

20
Q

Permanent Dipole-Dipole Forces

A

When it occurs:
* Generally weaker than hydrogen bonding
* Occurs between polar molecules

How does it arise?
* Difference in electronegativity leads to bond polarity
* Dipoles don’t cancel therefore the molecule has an overall permanent dipole
* There is an attraction between ∂+ on one molecule and ∂− on another

21
Q

Induced dipole-dipole (Van der Waals) Forces

A

When it occurs:
* Generally the weakest force but can be stronger than both hydrogen bonds and p.d.d. if the molecule is large
* Occurs between all molecules but is the importance force for non-polar molecules

How does it arise?
* Random movement of electrons in one molecule (atom) leads to an…
* Uneven distribution of electron, creating a…
* Temporary dipole in one molecule. This…
* Induces a dipole in a neighbouring molecule.
* Dipoles attract

22
Q

Ice vs water

A

ice is less dense than water because the H bonds in ice hold the molecules further apart