Glycine
G
Gly

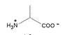
Alanine
A
Ala

Valine
V
Val

Leucine
L
Leu

Isoleucine
I
ile

Methionine
M
Met

Proline
P
Pro

Phenylalanine
F
Phe

Tyrosine
Y
Tyr

Tryptophan
W
Trp

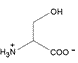
Serine
S
Ser

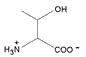
Threonine
T
Thr

Asparagine
N
Asn

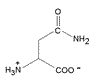
Glutamine
Q
Gln

Cysteine
C
Cys

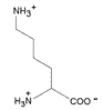
Lysine
K
Lys

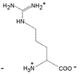
Arginine
R
Arg

Histidine
H
His

Aspartic Acid
(Aspartate)
D
Asp

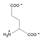
Glutamic Acid
(Glutamate)
E
Glu

Nonpolar
Glycine, Alanine, Valine, Isoleucine, Leucine, Methionine, Proline, Phenylalanine, Tyrosine, Tryptophan.
FILMY, PG, WAV
Polar Uncharged
Serine, Threonine, Asparagine, Glutamine, Cysteine.
Polar (bears) Still Quote Team Coke Now
Positive charge / Basic
Arginine, Histidine, Lysine
Be positive!…Row Happy K’s
Negative charge / Acidic
Aspartic Acid (Aspartate)
Glutamic Acid (Glutamate)