Structure Flashcards

(20 cards)

1
Q

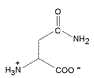
Glutamine

A
How well did you know this?
1
Not at all
2
3
4
5
Perfectly
2
Q

Methionine

A
How well did you know this?
1
Not at all
2
3
4
5
Perfectly
3
Q

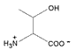
Threonine

A
How well did you know this?
1
Not at all
2
3
4
5
Perfectly
4
Q

Histidine

A
How well did you know this?
1
Not at all
2
3
4
5
Perfectly
5
Q

Phenylalanine

A
How well did you know this?
1
Not at all
2
3
4
5
Perfectly
6
Q

Valine

A
How well did you know this?
1
Not at all
2
3
4
5
Perfectly
7
Q

Tyrosine

A
How well did you know this?
1
Not at all
2
3
4
5
Perfectly
8
Q

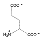
Glutamic Acid

(Glutamate)

A
How well did you know this?
1
Not at all
2
3
4
5
Perfectly
9
Q

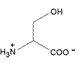
Serine

A
How well did you know this?
1
Not at all
2
3
4
5
Perfectly
10
Q

Leucine

A
How well did you know this?
1
Not at all
2
3
4
5
Perfectly
11
Q

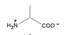
Alanine

A
How well did you know this?
1
Not at all
2
3
4
5
Perfectly
12
Q

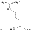
Arginine

A
How well did you know this?
1
Not at all
2
3
4
5
Perfectly
13
Q

Glycine

A
How well did you know this?
1
Not at all
2
3
4
5
Perfectly
14
Q

Proline

A
How well did you know this?
1
Not at all
2
3
4
5
Perfectly
15
Q

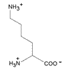
Lysine

A
How well did you know this?
1
Not at all
2
3
4
5
Perfectly
16
Q

Asparagine

17
Q

Aspartic Acid

(Aspartate)

18
Q

Cysteine

19
Q

Tryptophan

20
Q

Isoleucine