Center
Mean, Median or Mode
Measures of Spread
How far apart the numbers are in relation to each other
Range, IQR, Variance and Standard Deviation
Shape
Symmetric, normal, skewed left, skewed right, uniform, bimodal
Variability
How spread out numbers in a set are in relation to each other. Measured by spread.
Box Plot
A graph of the 5 number summary
A modified box plot shows if the data set has outliers.
Stemplot
A graph for quantitative data. Each value of the data set is represented by a stem and a leaf. Each leaf may only be 1 digit. Stem plots may have rounded values in place of the actual data.
Histogram
Common distribution for one variable

Dot Plot
A simple graph for small data sets

Mean
Average

Median
The middle number in a data set when the numbers are in order.
Sometimes called Q2 or MED
Mode
Most common value within the data
Outliers
A value that doesnt follow the general trend of the data.
Upper limit = Q3 + 1.5(IQR)
Lower limit = Q1 - 1.5(IQR)
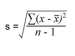
Standard Deviation
A measure of spread. The average distance from the mean.

Range
A measure of spread
Maximum-Minimum
5 Number Summary
Used in box plots
Min-Q1-Median-Q3-Max
Individuals
Person/object that is a member of the studied population
Quantitative
Numerical measures (order)
Qualitative
Classification of individuals based on attributes/characteristics (categorical, grouping)
Bar Graph
Used for categorical data

Ogive
A relative cumulative frequency histogram

Pie Chart
Categorical data separated into percentages

Symmetric
Equal on both sides

Minimum
Smallest value within the data
Q3
The median between the median and the maximum