Hypothesis Testing Flashcards

(19 cards)

1
Q

Hypothesis for 1 Sample Z-Test and 1 Sample T-Test

A

Ho: µ=μ0

Ha: µ≠μ0

How well did you know this?
1
Not at all
2
3
4
5
Perfectly
2
Q

Hypothesis for Matched Pairs T-Test

A

Ho: µd=0 The mean difference is 0

Ha: µd≠0 There is a mean difference

How well did you know this?
1
Not at all
2
3
4
5
Perfectly
3
Q

Hypothesis for 2 Sample T-Test

A

Ho: µ1= µ2

Ha: µ1≠ µ2

How well did you know this?
1
Not at all
2
3
4
5
Perfectly
4
Q

Hypothesis for 1 Prop Z-Test

A

Ho: p = po

Ha: p ≠ po

How well did you know this?
1
Not at all
2
3
4
5
Perfectly
5
Q

Hypothesis for 2 Prop Z-test

A

Ho: p1 = p2

Ha: p1 ≠ p2

How well did you know this?
1
Not at all
2
3
4
5
Perfectly
6
Q

Conditions for 1 Sample Z-Test

A

1) sigma (σ)known
2) SRS
3) Normality

Explain normality by the population being normal or by use of CLT

How well did you know this?
1
Not at all
2
3
4
5
Perfectly
7
Q

Conditons for 1 Sample T-Test

A

1) sigma (σ) unknown
2) SRS
3) Normality

Explain normality by the population being normal, by use of CLT or by graphing the sample data to show symmetry and no outliers

How well did you know this?
1
Not at all
2
3
4
5
Perfectly
8
Q

Conditions for Matched Pairs T-Test

A

1) Two dependent samples
2) sigma (σ) unknown
3) SRS
4) Normality

Explain normality by the population being normal, by use of CLT or by graphing the sample data to show symmetry and no outliers

How well did you know this?
1
Not at all
2
3
4
5
Perfectly
9
Q

Conditions for 2 Sample T-Test

A

1) Two independent samples
2) SRS for both samples
3) Normality in both samples

Explain normality by the population being normal, by use of CLT or by graphing the sample data to show symmetry and no outliers

How well did you know this?
1
Not at all
2
3
4
5
Perfectly
10
Q

Conditions for 1 Prop Z-Test

A

SRS,

Normality shown by np>10 and n[1-p]>10

Pop at least 10x sample shows that the formula for standard deviation can be used.

How well did you know this?
1
Not at all
2
3
4
5
Perfectly
11
Q

Conditions for 2 Prop Z-Test

A

SRS for both samples

Two independent samples,

normality is shown by all 4 parts (n1p1>10, n1[1-p1]>10, n2p2>10, n2[1-p2]>10)

Pop at least 10x sample so that the formula for standard deviation may be used

How well did you know this?
1
Not at all
2
3
4
5
Perfectly
12
Q

1 Sample Z-Test Statistic

A
How well did you know this?
1
Not at all
2
3
4
5
Perfectly
13
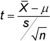
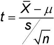
Q

1 Sample T-Test Statistic

A
How well did you know this?
1
Not at all
2
3
4
5
Perfectly
14
Q

2 Prop Z-Test Statistic

A
How well did you know this?
1
Not at all
2
3
4
5
Perfectly
15
Q

Matched Pairs T-Test Statistic

A

Where “mu” = 0

How well did you know this?
1
Not at all
2
3
4
5
Perfectly
16
Q

2 Sample T-Test Statistic

17
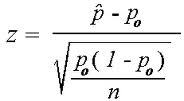
Q

1 Prop Z-Test Statistic

18
Q

Type 1 Error

A

Rejecting the null hypothesis when it is actually true

H0 is true

     H<sub>a</sub>    is true

Reject Ho

**Type I Error**

Correct decision

Accept H0

Correct Decision

Type II Error

19
Q

Type II Error

A

Accepting the null hypothesis when the alternative is actually true.

Ho is true

     H<sub>a</sub>    is true

Reject Ho

** **Type I Error

Correct decision

Accept Ho

Correct Decision

Type II Error