Ab welcher Gruppenzahl ist eine Varianzanalyse (ANOVA) für gewöhnlich am sinnvollsten?
Ab drei. Für zwei lassen sich einfach t-Tests durchführen.
Welche vier Voraussetzungen gelten für die einfaktorielle Varianzanalyse?
Wie lautet für gewöhnlich die Nullhypothese in der einfaktoriellen Varianzanalyse?
“Die Mittelwerte unterscheiden sich nicht”
Was lässt sich bezüglich der Mittelwerte herausfinden, wenn man mehr als zwei Gruppen miteinander vergleicht?
Mindestens ein Mittelwert unterscheidet sich – oder nicht.
Welche beiden Varianzen braucht es für eine einfaktorielle ANOVA?
Varianz zwischen den Gruppen
Varianz innerhalb der Gruppen

Wofür steht σ̂2zw?
Geschätzte Varianz zwischen den Gruppen
(Abweichungen der Gruppenmittelwerte vom Gesamtmittelwert)
Wofür steht σ̂2inn?
Geschätzte Varianz innerhalb der Gruppen
(Abweichungen der Messwerte von jeweiligem Gruppenmittelwert)
Im Kontext der ANOVA heißen Fehler…
Residuen (Residuals)
Freiheitsgrade (Df) teilen sich in Zählerfreiheitsgrade und Nennerfreiheitsgrade.
Zählerfreiheitsgrade berechnen sich durch…
Anzahl der Gruppen minus 1
(n – 1)
Freiheitsgrade (Df) teilen sich in Zählerfreiheitsgrade und Nennerfreiheitsgrade.
Nennerfreiheitsgrade berechnen sich durch…
Anzahl der Fälle minus Anzahl der Gruppen
z.B.
84 – 3 = 81

“Mean Squares” stellt in der Formel was dar?

Mittelquadrate = Varianzschätzungen, also in der Formel σ̂2
Berechnet durch die Quadratsumme geteilt durch zugeh. Freiheitsgrad
Was sind “Quadratsummen”?
(Sum Sq, Sum of Squares)
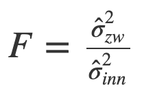
Wie berechnet sich der F-Wert?
Quotient aus dem Mittelquadrat des Zählers und dem Mittelquadrat des Nenners
Was ist der p-Wert in Worten?
die Wahrscheinlichkeit, einen solchen oder noch extremeren F-Wert zu erhalten, wenn eigentlich die Nullhypothese gilt.
Der p-Wert beträgt im Beispiel p=.000437, die Wahrscheinlichkeit für einen solchen oder noch extremeren F-Wert unter Gültigkeit der Nullhypothese ist also .04 %. Das ist ein recht kleiner p-Wert.
Im dichotomen Ansatz würde man sich (bei einem Signifikanzniveau von 5 %) für die Alternativhypothese entscheiden.
Benenne alle Teile der Formel zur Wiederholung:

Was wird in dieser Tabelle ausgegeben?
(2 Punkte)

Die Tabelle fasst zusammen,
Was ist der F-Test?
Das Prüfverfahren für die ANOVA
Warum sollte man statt einer ANOVA lieber nicht mehrere t-Tests durchführen?
Die Wahrscheinlichkeit für mindestens eine Fehlentscheidung würde steigen.
Dies nennt sich kumuliertes α
Wie berechnet sich das kumulierte α und wie kann man es korrigieren?
kumuliertes α = 1 – (1 – α) j
Durch die Bonferroni-Korrektur lässt sich bei Bedarf das kumulierte α korrigieren.
Nachteil: Teststärke sinkt + P(ß-Fehler) steigt

Warum nennt man die Alternativhypothese bei der ANOVA manchmal Omnibus-Hypothese?
Weil sie ungerichtet ist und kein konkretes Ergebnis zeigt.
Welche zwei Ansätze kann man nutzen, um eine ANOVA durchzuführen?
Welchem Wert würde sich F annähern, wenn H0 stimmt?
Eins 1
Weil: Wenn beide Varianzen im Verhältnis zueinander (siehe Formel) sehr ähnlich sind, ist das Ergebnis gegen 1
Wir schätzen die Populationsvarianz:
Wenn die beiden Varianzschätzungen sehr ähnlich sind, …?
stimmt die Nullhypothese.
Was wird hier berechnet und wie beschreiben wir den Vorgang?

Die geschätzte gemittelte Varianz der Stichproben (σ̂2inn)
Wir addieren alle ermittelten Varianzen und teilen sie durch k, die Anzahl der Stichproben