Welche Unterscheidung sollte man bei t-Tests beachten, die prüfen, ob sich zwei Populationsmittelwerte signifikant unterscheiden?
Sind die Stichprobenmittelwerte aus
abhängigen oder unabhängigen Stichproben
Was gilt jeweils bei abhängigen oder unabhängigen Populationen in Bezug auf die Stichproben?
Wenn die Messwerte aus einer Stichprobe keinerlei Vorhersage auf eine zweite Stichprobe treffen lassen, dann sind die beiden Stichproben…?
stochastisch unabhängige Stichproben
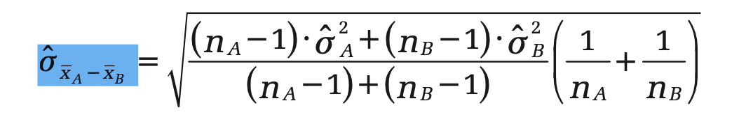
Wie erreicht man eine Standardisierung der Differenz zweier Mittelwerte im t-Test?
Man teilt durch den Standardfehler des Mittelwertunterschieds

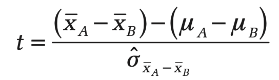
In der Formel für den t-Test unabhängiger Stichproben, wofür steht der zweite Teil des Terms im Zähler?

(µA – µB)
Er drückt eine Vermutung über die entsprechenden Populationsmittelwerte aus und ist fast immer gleich 0
(µA – µB = 0)
(µA – µB = 0) steht für welche Hypothese?
die Nullhypothese
Wie nennt man jenen Wert, mit dem man das Ergebnis des t-Tests vergleicht, um seine Bedeutung einzuschätzen?
den kritischen t-Wert
(Das Ergebnis des t-Test aus Stichproben nennt man empirischen t-Wert )
Wenn der empirische t-Wert betragsmäßig größer als der kritische t-Wert ist (beide t-Werte könnten auch negativ sein), ist das Ergebnis signifikant.
Was bedeutet das für den p-Wert?
der p-Wert ist kleiner als Alpha
Was bedeutet es, wenn der empirische t-Wert gleich groß oder kleiner ist als der kritische Wert?
der p-Wert ist gleich groß oder größer als Alpha
(also ein nicht-signifikantes Ergebnis)
Wozu dient eine Poweranalyse?
Um abzuschätzen, wie hoch die Chancen sind, einen tatsächlich vorhandenen Populationseffekt auch zu entdecken
Was erziehlt die a-Priori-Analyse?
Man bestimmt die Stichprobengröße, die benötigt wird, um einen festgelegten Populationseffekt mit einer bestimmten Wahrscheinlichkeit aufzudecken.
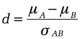
Wie lautet die Formel für d bei unabhängigen Mittelwertsunterschiede?
d = (μA−μB) / σAB

Was ist ein t-Test für unabhängige Stichproben?
Ein Test, der die Mittelwerte zweier unabhängiger Stichproben miteinander vergleicht
Was ist ein t-Test für abhängige Stichproben?
Ein Test, der die Mittelwerte zweier abhängiger Stichproben miteinander vergleicht
Was ist ein t-Test für eine Stichprobe?
Ein Test, der den Mittelwert aus einer Stichprobe mit einem vorgegebenen Mittelwert vergleicht
Wovon spricht man, wenn durchweg gleiche Varianzen vorliegen?
Varianzhomogenität
Welche vier Voraussetzungen müssen erfüllt werden für den t-Test zweier unabhängiger Stichproben?
Warum ist es logisch, dass beim t-Test für zwei Mittelwerte mindestens Intervallskalenniveau vorliegen muss?
Die Berechnung von Mittelwerten ist erst ab Intervallskalenniveau sinnvoll
Beim Vergleichen zweier Mittelwerte, wie lautet für Gewöhnlich die Nullhypothese H0?
Die Mittelwerte in den beiden Populationen unterscheiden sich nicht
“Die Mittelwerte […] unterscheiden sich” ist was für eine (Alternativ-) Hypothese?
Eine ungerichtete Alternativhypothese
( H1 )
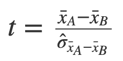
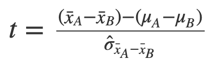
Dies ist die Formel für die vereinfachte Prüfgröße für den Fall der Annahme eines Gruppenunterschieds von 0 in der Nullhypothese.
Wie ändert sich die Formel, wenn in H0 ein anderer Gruppenunterschied postuliert wird?

Es wird (μA−μB) im Zähler abgezogen
(Dies ist der in der Nullhypothese postulierte Mittelwertunterschied)

Wie lautet der R-Befehl für den T-Test und das Argument, wenn man Varianzhomogenität annimmt?
t.test(…, var.equal=T)
Wie heißt die korrigierte Form des t-Tests, der auf Varianzheterogenität Rücksicht nimmt?
Welch-Test
(Durch diese Form verliert der Test minimal an Power)
Wir möchten aus “objekt” variable1 (abhängige V) mit variable2 (unabhängige V) vergleichen. Wir wissen nicht, ob die Varianz gleich ist. Wie lautet der Befehl in R?
t.test(objekt$variable1 ~ objekt$variable2)
Variable2 (die unabhängige) ist jene Variable, nach der gruppiert wird