ANS-5 Flashcards

(61 cards)

1
Q

Antimuscarinic agents are selective for ___, ___, and ___ receptors

A

M1, M2, M3

How well did you know this?
1
Not at all
2
3
4
5
Perfectly
2
Q

Antimuscarinic agents have little effect on ___

A

nicotinic receptors

How well did you know this?
1
Not at all
2
3
4
5
Perfectly
3
Q

Antimuscarinic agents are ____ antagonists

A

competitive

How well did you know this?
1
Not at all
2
3
4
5
Perfectly
4
Q

What is the problem with antimuscarinic agents such as Atropine?

A

lack of selectivity

How well did you know this?
1
Not at all
2
3
4
5
Perfectly
5
Q

Only ___ doses of Atropine can cause a partial block (M1) of the CNS

A

high

How well did you know this?
1
Not at all
2
3
4
5
Perfectly
6
Q

What are the 2 general classes of antimuscarinics?

A

tertiary amines and quarternary amines

How well did you know this?
1
Not at all
2
3
4
5
Perfectly
7
Q

antimuscarinic tertiary amines are mainly used on ___ and ___ applications

A

ocular, CNS

How well did you know this?
1
Not at all
2
3
4
5
Perfectly
8
Q

antimuscarinic quarternary amines are mainly used on ___ and ___ applications

A

GI tract, peripheral

How well did you know this?
1
Not at all
2
3
4
5
Perfectly
9
Q

What is this?

A

Atropine

How well did you know this?
1
Not at all
2
3
4
5
Perfectly
10
Q

What is this?

A

Anisotropine

How well did you know this?
1
Not at all
2
3
4
5
Perfectly
11
Q

T or F: Tertiary amines have good access to the CNS

A

True

How well did you know this?
1
Not at all
2
3
4
5
Perfectly
12
Q

Tertiary amines: Belladonna alkaloids (long acting)

A

Atropine and Scopolamine (Maldemar)

How well did you know this?
1
Not at all
2
3
4
5
Perfectly
13
Q

Tertiary amines: short acting derivatives

A

Homatropine and Tropicamide

How well did you know this?
1
Not at all
2
3
4
5
Perfectly
14
Q

Tertiary amines: Antiparkinson use

A

Benztropine (Cogentin) and Trihexyphenidyl (Artane)

How well did you know this?
1
Not at all
2
3
4
5
Perfectly
15
Q

Quaternary amines: Belladonna alkaloid derivatives

A

Ipratropium (Atrovent) and Tiotropium (Spiriva)

How well did you know this?
1
Not at all
2
3
4
5
Perfectly
16
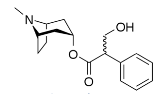
Q

What is this?

A

Scopolamine (Maldemar)

How well did you know this?
1
Not at all
2
3
4
5
Perfectly
17
Q

Atropine and Scopolamine treat ___, ___, and ___

A

GI conditions, urinary conditions, and motion sickness

How well did you know this?
1
Not at all
2
3
4
5
Perfectly
18
Q

Compared to Atropine, Scopolamine has ___ CNS penetration

A

higher

How well did you know this?
1
Not at all
2
3
4
5
Perfectly
19
Q

Scopolamine is more ___philic than Atropine

A

lipo

How well did you know this?
1
Not at all
2
3
4
5
Perfectly
20
Q

Side effects of Scopolamine

A

dry mouth, blurred vision, and sedation

High doses: confusion and psychosis

How well did you know this?
1
Not at all
2
3
4
5
Perfectly
21
Q

Homatropine and Tropicamide are used in optical applications such as ___ and ___ because of the ___ duration of action

A

cycloplegia, mydriasis, short

Cycloplegia = paralysis of the ciliary muscle of the eye

How well did you know this?
1
Not at all
2
3
4
5
Perfectly
22
Q

Homatropine is ___ toxic; Tropicamide has a ___ duration of action

A

less, shorter

How well did you know this?
1
Not at all
2
3
4
5
Perfectly
23
Q

What is this?

A

Homatropine

How well did you know this?
1
Not at all
2
3
4
5
Perfectly
24
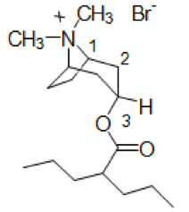
Q

What is this?

A

Tropicamide

How well did you know this?
1
Not at all
2
3
4
5
Perfectly
25
Tertiary amines used for Parkinsons Disease have ___ activity
sedative
26
___ is used as an adjunct therapy with L-DOPA in PD patients (to achieve better balance between dopaminergic and cholinergic neurotransmission)
Benztropine (Cogentin)
27
What is this?
Benztropine (Cogentin)
28
Ipratropium (Atorvent) clinical use
M3 antagonist used for COPD treatment (blocks bronchoconstriction). Occasionally used for asthma. Enhances effect of B-adrenergic agoinst in COPD
29
Combivent/Duoneb is a combo of which two medications? (used to treat COPD)
ipratropium and albuterol
30
What is this?
Ipratropium
31
Quaternary amines for GI disorders
Glycopyrrolate amd Propantheline Bromide | Propantheline Bromide is not available in the US
32
___ is often used pre-op to reduce secretions
Glycopyrrolate
33
Why are quaternary amines good for GI?
positive charge makes it difficult to escape the gut
34
What is this?
Glycopyrrolate
35
Tolterodine (Detrol) is a antimuscarinic used for ____
overactive bladder (OAB)
36
What is this?
Propantheline Bromide
37
Tolterodine has no apparent selectivity for different muscarinic receptor subtypes; however therapeutically seems to act somewhat selectively on the ___ receptor
M3
38
What is this?
Tolterodine (Detrol)
39
Proposed advantages of newer M3 receptor-selective muscarinic antagonists used to treat OAB
Lower incidence of constipation and confusion
40
Examples of newer M3 drugs for OAB
Solifenacin (Vesicare) and Darifenacin (Enablex)
41
What is this?
Solifenacin (Vesicare)
42
What is this?
Darifenacin (Enablex)
43
Antimuscarinic Poisoning Treatment
* change medicine or decrease dose * supportive care (sodium bicarbonate for QRS/arrhythmias, benzodiazepines for agitation/delirium) * physostigmine (AChE inhibitor)
44
Neuromuscular blocking agents look like ___
ACh
45
What is this?
Succinylcholine
46
What is this?
Tubocurarine
47
Blocking the Nicotinic Receptor: What drug has a non-depolarizing blockade and acts as a "normal" antagonist?
Tubocurarine
48
Blocking the Nicotinic Receptor: What drug has a depolarizing blockade? (First activates, then blocks)
Succinylcholine
49
Depolarizing Blockade definition (nicotinic)
agonist remains bound to receptor. Persistent depolarization means fast Na+ channels cannot reset to active state.
50
Tubocurarine (Curare) mechansim
competitive antagonist for nicotinic receptors producing a non-depolarizing blockade
51
Tubocurarine (Curare) clinical use
skeletal muscle relxation during anesthesia (useful for intubation)
52
Succinylcholine (Suxamethonium = SUX) mechanism
At first, acts as an nicotinic receptor agonist (initial depolarization). But it doesnt dissociate from the receptor and the presistent depolarization does not allow receptor to reset.
53
What metabolizes Succinylcholine?
Plasma Butyrylcholinesterase | slower than AChE breaking down ACh
54
T or F: Choline increases BP
True
55
Succinylcholine (SUX) clinical use:
skeletal muscle relaxation during anesthesia (useful for intubation and electro-convulsant therapy)
56
Problems with Succinylcholine (SUX)
muscle soreness (avoid in hyperkalemia - cardiac arrest), malignant hyperthermia, atypical cholinesterases (prolonged cholinesterases)
57
____ inhibits the release of ACh
Botulinum Toxin
58
Botulinum Toxin clinical use
uncontrolled muscle spasms (dystonias), cerebral palsy, ocular muscle spasms, anal fissures, excessive sweating (hyperhidrosis)
59
Problems with Botulinum Toxin
spreads from injection site
60
Hexamethonium mechanism
Antagonist at nicotinic receptors in autonomic ganglia thus blocking all SNS and PSNS activity
61
What was the original use of Hexamethonium and why is it no longer used?
hypertension, but no longer used due to adverse effects