Micronutrition Flashcards

(35 cards)

1
Q

Daily Values

Determined by ___ for a daily diet of ___ calories/day. Originally based on ___ published in 1968

A
  • FDA
  • 2,000 calories
  • recommended dietary allowances (RDAs)
How well did you know this?
1
Not at all
2
3
4
5
Perfectly
2
Q

abbreviations

EAR
* the amount of nutrient estimated to meet the need of ___ of healthy individuals in an age and gender group

A

estimated average requirement
* 50%

How well did you know this?
1
Not at all
2
3
4
5
Perfectly
3
Q

abbreviations

RDA
* two standard deviations above the ___
* sufficient to meet the need of nearly all healthy individuals in a group

A

recommended dietary allowance
* EAR

How well did you know this?
1
Not at all
2
3
4
5
Perfectly
4
Q

abbreviations

AI
* used when scientific evidence is ___ to set an ___
* approxiations of the average nutrient intake by a healthy population

A

adequate intake
* inadequate, EAR

How well did you know this?
1
Not at all
2
3
4
5
Perfectly
5
Q

abbreviations

UL
* the __ level of daily intake of a nutrient without any health risk

A

tolerable upper intake levels
* maximum

How well did you know this?
1
Not at all
2
3
4
5
Perfectly
6
Q

Micronutrients are made up of ___ and ___

A
  • vitamins
  • minerals
How well did you know this?
1
Not at all
2
3
4
5
Perfectly
7
Q

fat soluble vitamins

A

A, D, E, and K

How well did you know this?
1
Not at all
2
3
4
5
Perfectly
8
Q

water soluble vitamins

A

B and C

How well did you know this?
1
Not at all
2
3
4
5
Perfectly
9
Q

macrominerals

A

Ca2+, Mg2+

How well did you know this?
1
Not at all
2
3
4
5
Perfectly
10
Q

trace minerals

A

iron, iodine, zinc, copper, and selenium

chromium, manganese, molybdenum, fluoride, boron

How well did you know this?
1
Not at all
2
3
4
5
Perfectly
11
Q

T or F: only B6 and B12 are still refered to by the number

A

True

How well did you know this?
1
Not at all
2
3
4
5
Perfectly
12
Q

Vitamin A

retinol, retinal, and retinoic acid
* produced from ___ (organic pigments in plants)
* Δ11-cis-retinal reversibly associated with opsins and function as ___ sensor
* vitamin A deficinecy may cause ___

A
  • carotenoids
  • light
  • night blindness
How well did you know this?
1
Not at all
2
3
4
5
Perfectly
13
Q

Vitamin A

Retinoic acid function as ___ hormones, regulating cell growth and differentiation
* associates with ___ receptors: retinoic acid receptors (RARs) and retinoid X receptors (RXR)
* carotenoids are effective __; may reduce the risk of ___
* stored in the liver as retinol ___
* dietray sources: ___ and ___ veggies, liver, egg yolk, butter and whole milk
* Deficiency is rare, but ___ % of americans consume less than ___ of the RDA

A

steroid
* nuclear
* antioxidants; cancers
* dark green and yellow
* 40-60%, 2/3

How well did you know this?
1
Not at all
2
3
4
5
Perfectly
14
Q

Vitamin D

  • functions as ___ hormones maintaining ___ homeostasis
  • synthesized from an intermediate in ___ biosynthesis
  • produced ___ in the skin
  • deficiency: ___ in young children and ___ in adults
  • dietary sources: vitamin D milk, saltwater fish, liver, and egg yolk
A
  • steroid, calcium
  • cholesterol
  • photochemically
  • rickets, osteomalacia
How well did you know this?
1
Not at all
2
3
4
5
Perfectly
15
Q

Vitamin E

  • occurs in the diet as ___ and ___
  • naturally occuring ___ protecting ___ fatty acids
  • accumulate in circulating lipoproteins, cellular membranes, and fat deposits
  • reduces the risk of cardiovascular disease by preventing oxidation of ___
  • the oxidized form of LDL is ___
  • dietary cources: vegtable ___ rich in poly ___ fatty acids
  • Deficiency is rare
A
  • tocopherols and tocotrienols
  • antioxidanrs, unsaturated
  • LDL
  • atherogenic
  • oil, unsaturated
How well did you know this?
1
Not at all
2
3
4
5
Perfectly
16
Q

Vitamin K

  • required for post-translational modification of ____ acid residues to γ-carboxyglutamic acid residues.
  • carboxyglutamic acids allow proteins to bind ___ and ___
  • essential for blood ___ ; Example ___
  • essential for bone ___ ; ___
A
  • glutamic
  • Ca2+ and hydroxyapatite
  • clotting, prothrombin
  • mineralization; osteocalcin
17
Q

Vitamin K

  • in carboxylation reaction, vitamin K is converted to an inactive ___ form
  • regeneration of the active form requires vitamin k epoxide ___

Warfarin
* anticoagulant, vitamin K ___
* prevents ___
* inhibits vitamin K epoxide reductase

Dietary sources
* Vitamin K1 in ___ vegetables
* Vitamin K2 is synthesized by intestinal ___
* deficiency is rare

A
  • epoxide
  • reducatse
  • antagonist
  • thrombosis
  • green
  • bacteria
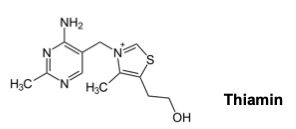
18
Q

Thiamin (B1)

  • rapidly converted to thiamin ___ and thiamin ___
  • thiamin pyrophosphate functions as a ___ in enzymatic catalysis
  • thiazole ring forms a carbanion (strong ___ ). Ex: pyruuvate dehydrogenase converts pyruvate to ___
  • thiamin triphosphate functions in transmission of nerve ___ in peripheral nerve membranes
  • severe thiamin deficiency is known as ___ , characterized by muscular ___ and ___
  • may occur in populations relying on ___ rice or alcoholics
A
  • pyrophosphate, triphosphate
  • cofactor
  • nucleophile
  • acetyl CoA
  • impulses
  • beriberi, atrophy, weakness
  • polished
19
Q

Riboflavin B2

  • precursor of cofactors used in many redox reactions ___ and ___
  • deficiency is very rare; angular cheilitic, glossitis, and scaly dermatitis
  • seen in chronic ____
  • dietary source: milk, eggs, and ___ products
A
  • FAD (flavin adenine dinucleotide)
  • FMN (flavin mononucleotide)
  • alcoholics
  • cereal
20
Q

Niacin B3

  • nicotinic acid and nicotinamide were rebranded as ___ and ___
  • converted to cofactors ___ and ___
  • electron acceptors or ___ donors
  • essential in ___ reactions and cellular ___
  • ___ is also used for ADP-ribosylation
  • severe deficency is known as ____ ; dermatitis, diarrhea, and dementia
  • rare; primarily seen in ___ , patients with severe ___ , and elderly on restricted diets
  • rich in meats, ___, and enrished cereals
A
  • niacin and niacinamide
  • NAD, NADP
  • hydrogen
  • redox, respiration
  • NAD
  • pellagra
  • alcoholics, malabsorption
  • peanuts
21
Q

Pyridoxine B6

  • exists as pyridoxine, pyridoxamine, pyridoxal in diet
  • converted to a cofactor pyridoxal ___
  • transamination reactions in amino acid metabolism
  • synthsis of neurotransmitters and ___
  • mild deficiency: irritability, nervousness, and ___
  • severe deficiency: peripheral neuropathy and ___
  • rich in meat, vegetables, and whole-grain cereals
  • significant fraction of US consumes less than recommended intake
A
  • phosphate
  • sphingolipids
  • depression
  • convulsions
22
Q

Biotin B7

  • cofactor for activation of ___ in carboxylase enzymes. Ex: acetyl-CoA carboxylase converting acetyl-CoA to ___
  • ___ bound to lysine side chains in enzymes
  • Deficiency is rare; may occur if raw ___ is consumed regularly; avidin forms tight complex with biotin
  • pregnant women tend to have a high risk of biotin deficiency
A
  • carbon dioxide, malonyl-CoA
  • raw egg whites
23
Q

Folic acid (B9)

  • converted to ___ , a one carbon carrier in enzyme reactions
  • used in the synthesis of amino acids and ___
  • essential for ___ synthesis and cellular proliferation; deficiency inhibits this
  • produces abnormal red blood cells ( ___ )
  • increases the risk of birth defects, especially ___ defect
  • common in ___
A
  • tetrahydrofolate
  • nucleotides
  • DNA
  • anemia
  • neural tube
  • alcoholics
24
Q

Cobalamin B12

  • contains ___ in a coordination state of six
  • exists as a complex with ___
  • required for ___ reactions in humans
    1. ___ synthase (homocysteine to ___ )
    2. methylmalonyl-CoA ___ (methylmalonyl-CoA to ___ - CoA)
  • when insufficient, homocysteine and methylmalonic acid accumulate which causes ___ and ___ damage
  • deficiency is rare except patients with severe ___ diseases and long term ___
A
  • Co
  • proteins
  • 2
  • methionine, methionine
  • mutase, succinyl
  • anemia and neurological
  • malabsorptive, vegetarians
25
# Vitamin C * ___ acid (means without scurvy) * functions as a cofactor for several ___ * required for hydroxylation of ___ and ___ side chains, which is necessary for ___ stability * proper collagen stability is essential for maintenance of normal connective tissue, wound healing, and ___ formation * nonenzymatic ___ agent * aids in absorption of iron by reducing it to ___ in the stomach * protects vitamin ___ , ___ and some ___ vitamins from ___
* ascorbic * oxidases * lysine, proline, collagen * bone * reducing * Fe2+ * A, E, B, oxidation
26
# Vitamin C Deficiency Mild (capillary ___ ) * easy bruising * decreased immunocompetence Severe ( ___ ) * decreased wound healing * osteoporosis * hemorrhaging * anemia
* fragility * scurvy
27
T or F: smokers require more vitamin C
True
28
# Calcium * make ___ that serve as reservoir * serves as ___ messenger * essential for blood ___ and muscle ___ * dietary insufficiency results in net loss of Ca2+ from the ___ * vitamin ___ is required for optimal Ca2+ utilization * exercise facilitates bone ___
* bones * second * coagulation, contractility * bones * D * formation
29
# Calcium deficiency * resembles vitamin ___ deficiency * contributes to ____ * mild: muscle ___ * low income children and adult fmales do not consume adequate calcium * found in: dairy, nuts, beans, seeds, and sweaweeds
30
T or F: achieveing maximum bone density from age 10-35 is critical for reducing the risk of osteoporosis later
True
31
# Iron * component of heme, ___, and non-heme iron proteins * required for ___ transport, energy metabolism, cell proliferation, and immune defense * iron homeostats tightly regulated due to it being extremely ___ * free iron generates free ___ * normally sequestered in the cell by ___ and in the blood by ___ * iron-deficiency anemia is widespread in children and ___ females
* cytochromes * O2 * toxic * radicals * ferritin, transferrin * menstruating
32
# Trace metals Iodine * synthesis of ___ hormones * found in ___ * deficiency was endemic in ___ populations * Goiter - enlargement of the ___ gland * Cretinism - severely stunted physical and ___ growth * routinely added to ___
* thyroid * seafood (fish/seaweed) * inland * thyroid * mental * table salt
33
# Trace minerals Zinc * required for ___ and ___ proteins * deficiency in children results in poor growth and ___ development * deficiency may cause poor wound healing, dermatitis, and impared ___ function
* metalloenzymes, zinc finger * sexual * immune
34
# Trace minerals Copper * required for many enzymes such as ___ (necessary for ___ cross linking) * defiecinecy may cause anemia, bone ___, and blood vessel ___
* lysyl oxidase, collagen * demineralization, fragility
35
# Trace minerals Selenium * found in around 25 ___ in humans * these proteins can contain ___ residues which are incorporated during ___ * selenocystyl-tRNA binds to ___ codons in mRNA with a special sequence in 3' ___ region * deficiency is rare
* selenoproteins * selenocysteine, translation * UGA, untranslated