Anticancer Flashcards

(18 cards)

1
Q

What are intercalating drugs

A

Drugs that distort DNA double helix via pi-bonding of flat aromatic structures

How well did you know this?
1
Not at all
2
3
4
5
Perfectly
2
Q
A

Dactinomycin

They are intercalating agents
Intercalation via planar phenoxazone ring system C - G base pairs

Contains additional H bonding with cyclic peptides

How well did you know this?
1
Not at all
2
3
4
5
Perfectly
3
Q
A

Doxorubicin

Has 3 mechanism of action

Intercalation via tetracyclic system

Additional bond between phosphate on DNA backbone and ammonium group = stabilisation of DNA topoisomerase II

Chelate metal ions

cardiotoxic

How well did you know this?
1
Not at all
2
3
4
5
Perfectly
4
Q
A

Mitoxantrone

Intercalation
Bond between phosphate on DNA backbone with amino group
Can chelate metal ions

Less cardiotoxicity - no sugar moiety

How well did you know this?
1
Not at all
2
3
4
5
Perfectly
5
Q
A

Bleomycin

Intercalation via bithiazole rings

Production of free radicals via N atoms

N atoms can chelate metal ions

How well did you know this?
1
Not at all
2
3
4
5
Perfectly
6
Q
A

Non-intercalating drugs

Stabilise DNA topoisomerase II

Can produce free radicals

How well did you know this?
1
Not at all
2
3
4
5
Perfectly
7
Q
A

Camptothecins

Stabilise DNA topoisomerase I

Induce production of destructive enzymes

How well did you know this?
1
Not at all
2
3
4
5
Perfectly
8
Q
A

Chlormethine

Alkylating drug

Causes DNA linkage

How well did you know this?
1
Not at all
2
3
4
5
Perfectly
9
Q
A

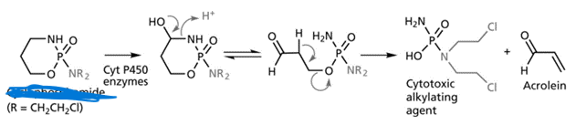
Cyclophosphamid

Alkylating drug

Phosphoramide group reduces nucleophilicity of N = more reactive

How well did you know this?
1
Not at all
2
3
4
5
Perfectly
10
Q
A

Nitrosourea

Alkylating agent

Can pass through BBB
Carbamoylation of protein and alkylation of DNA between C-G

How well did you know this?
1
Not at all
2
3
4
5
Perfectly
11
Q
A

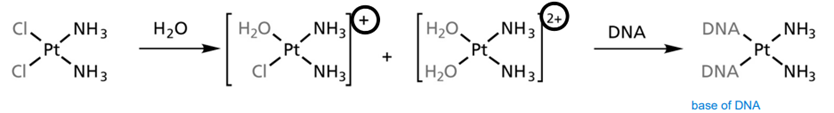
Cisplatin

Alkylating agent

Replacement of Cl by water = positively charged and reactive ligands
Binds to regions with high concentration of guanine = transcription inhibited

How well did you know this?
1
Not at all
2
3
4
5
Perfectly
12
Q
A

Dacarbazine and procabazine

Non-alkylating agent

Methylation of DNA but no cross linking

How well did you know this?
1
Not at all
2
3
4
5
Perfectly
13
Q
A

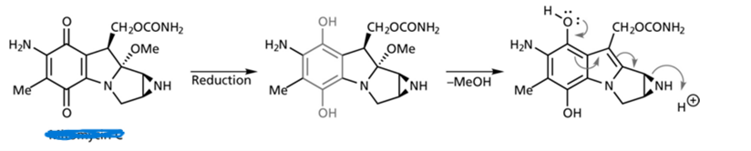
Mitomycin C

Converted into alkylating agent in vivo

How well did you know this?
1
Not at all
2
3
4
5
Perfectly
14
Q

What are dihydrofolate reductase inhibitors

A

Catalyse reduction of folic acid to tetrahydrofolate

How well did you know this?
1
Not at all
2
3
4
5
Perfectly
15
Q
A

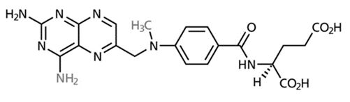
Methotrexate

How well did you know this?
1
Not at all
2
3
4
5
Perfectly
16
Q
A

5-fluorouracil

Thymidylate synthase inhibitor

Converted into analogue of dUMP in vivo
Stops synthesis of thymidine due to covalent bond

17
Q
A

DNA polymerase inhibitors

Mimic deoxynucleotides to act as false substrate for DNA polymerase

18
Q
A

Purine antagonist

Converted to thio-dGTP
Causes cell death