What do marginal functions tell us?
tells us how a given function is changing at each point, we can use deratives for this.
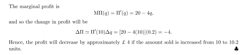
Find the exact increase and approximate increase ?


Whats the derative of the cost function, the revenue function and profit function?



What does the first derative test at a point tell us, when f’(x) > 0 and when f’(x)<0, what does this tell us?
tells us whether a function is increasing or decreasing at the point.



When do stationary points occur?
when the first derative is neither increasing or decreasing so f’(x) = 0.
For figure 3a how does the diagram show a maxmium as x increases?
how does figure 3b show a minmium as x increases ?


When finding a max or min, i’e when the first derative is equal to 0, there could be what?
Neither maximum or minimum, there could be a point of inflection
How does this show inflection points as x increases?


What is the notation for the second derative?

What is the second derative of x^3 + x^2 + x? and what is the second derative at the specific point x=2?

What does the second derative test tell us about our function?
Tells us whether our statitonary point is a maximum or a minimum.
IF the second derative test is f’‘(a)<0 then our stationary point is what, if f’‘(a)>0 then our stationary point is what?
if f’‘(a)<0 then our stationary point is a maximum
if f’‘(a) >0 then our stationary point is a minimum.

With the point of inflection what will our second derative test be?
f’‘(a) = 0, however this doesnt tell us whether our stationary point is a point of inflection, we still need to do testing, picking different values and plugging into equation, as it could well be a maxmium as well as a minimum.
1) When we look at e^x, as x goes to infinity what happens to e^x?
2) When we look at e^-x and x goes to infinity what happens to e^x?

What perfect diagram shows e^x as x goes to infinity and e^-x as x goes to infinity?

So far what have we found the ingredients to do?
Optimise the function of one variable.
What are the steps to optimising the function of one variable?

How can we determine whether we have a global maxmin or min or local maximum of min?

We are going to use the first and second derative test






What are the steps to be be able to draw functions of one variable?
1) you need the y intercept ( when x = 0)
2) the x intercepts, is is when y =0
the stationary points which were found, when we determined whether they are a low max or min.