What is partial differentation?
Partial derivatives are defined as derivatives of a function of multiple variables when all but the variable of interest are held fixed during the differentiation.
In economics what is the partial derative of q(k,l) with respect to k then L?

How do we denote partial derative of f with respect to x?
It uses a curly d

How do we denote partial derative of f with respect to y?

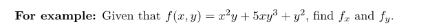
What is the simple way to calculate partial derative?
you just keep the letter than are you are differentating constant and differentatie the rest.




What are the 4 second order partial derative equations in shorthand?
Remember that fyx = fxy





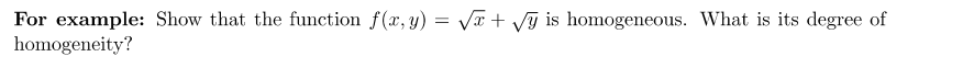
What is the look of a homoegenous function

What does it mean if a function f(x,y) is homogenous to degree r

What is this called?

Cobb douglas function






In economics how can we see homeogeonous functions?
as telling us about how our outputs change when we scale up our inputs.
If we increase our inputs f(x,y) by a factor of lander, what is our outputs?

What does lander to the power of r mean?






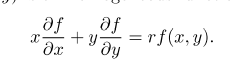
What is euler theorem?
if a function f(x,y) is an homogenous function to degree r then we get below.




