Give the double angle formula for sin(2a)

Give the double angle formula for tan(2a)

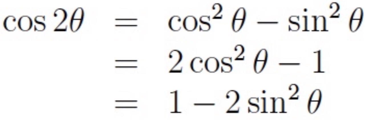
Give the double angle formula for cos(2a)

Describe how to find the inverse of a function
Swap the variables, ie for a function y of x, make it such that it is a function x of y
Give the quotient rule
