Give the equation for the vector projection of v1 onto v2

Give the equation for the scalar projection of v1 onto v2

Describe how to obtain a vector perpendicular to v1 and v2
v1 x v2
Give the scalar equation of a line

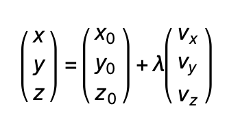
Give the vector equation of a line

Give the equation for the smallest difference between a point C and a line that passes through A and B
Note that this is the same equation used to find the shortest distance between two lines

Describe how to multiply two vectors using determinants

Give the complex conjugate of r = ei𝜃
r* = e-i𝜃
State how to convert between polar and cartesian coordinates
x = rcos𝜃
y = rsin𝜃