Define the following.


Define a domain.
A domain is a non-empty, open, path connected subset of ℂ
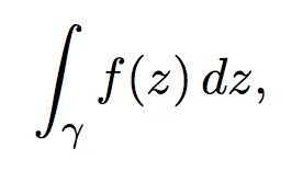
What does the following mean?

The line integral of f over Ɣ
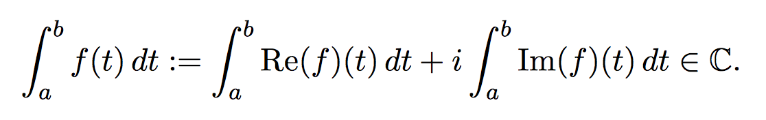
Finish the following equation.


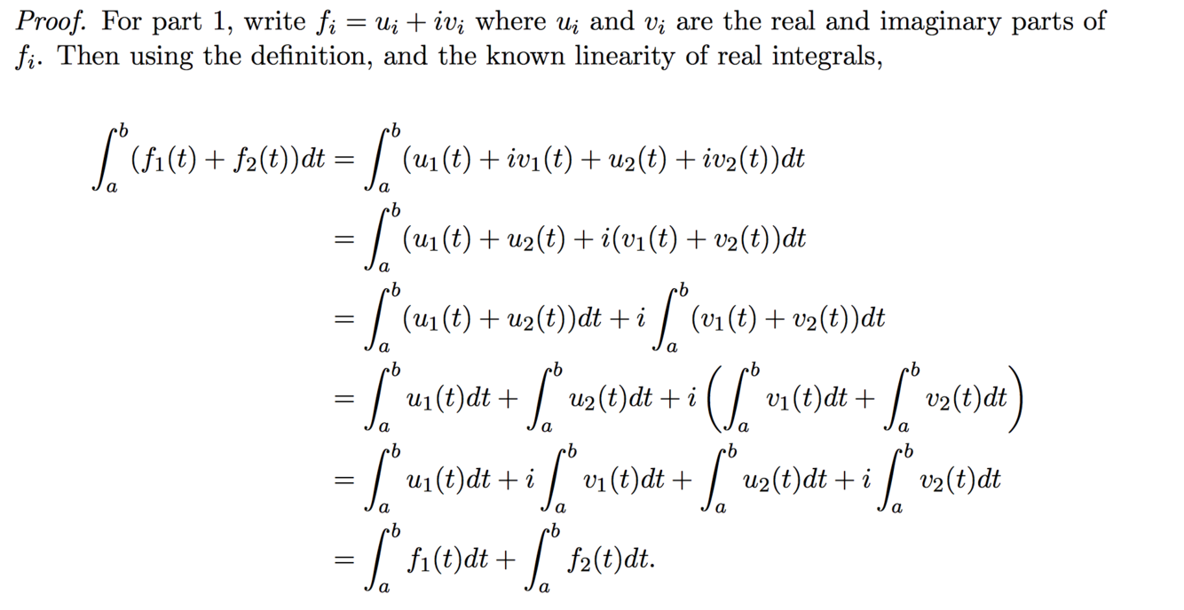
Prove the following Lemma.


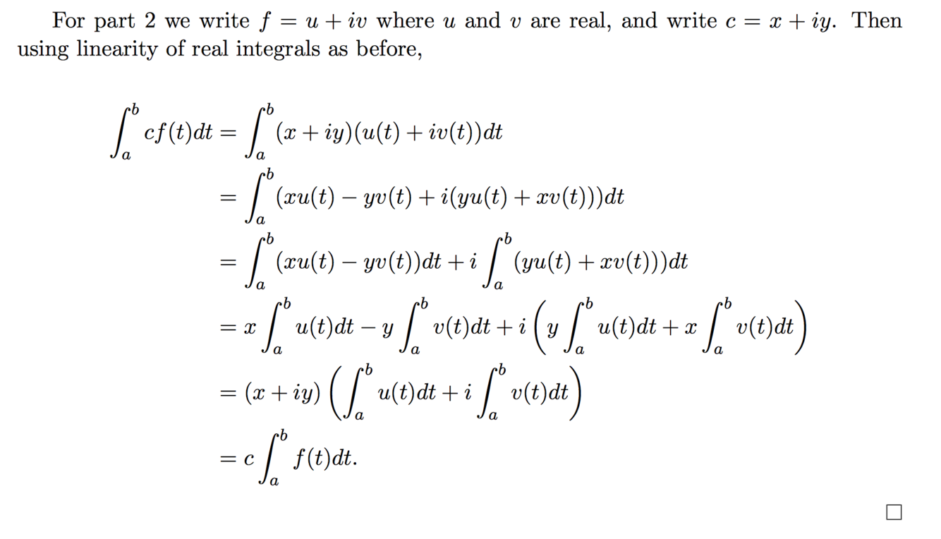
Prove the following Lemma.


Define a curve.

When is a curve called smooth or C1?
If Ɣ’ exists and is continuous on [a,b].
What is Ɣ’ defined as?

Define the integral of f along Ɣ.

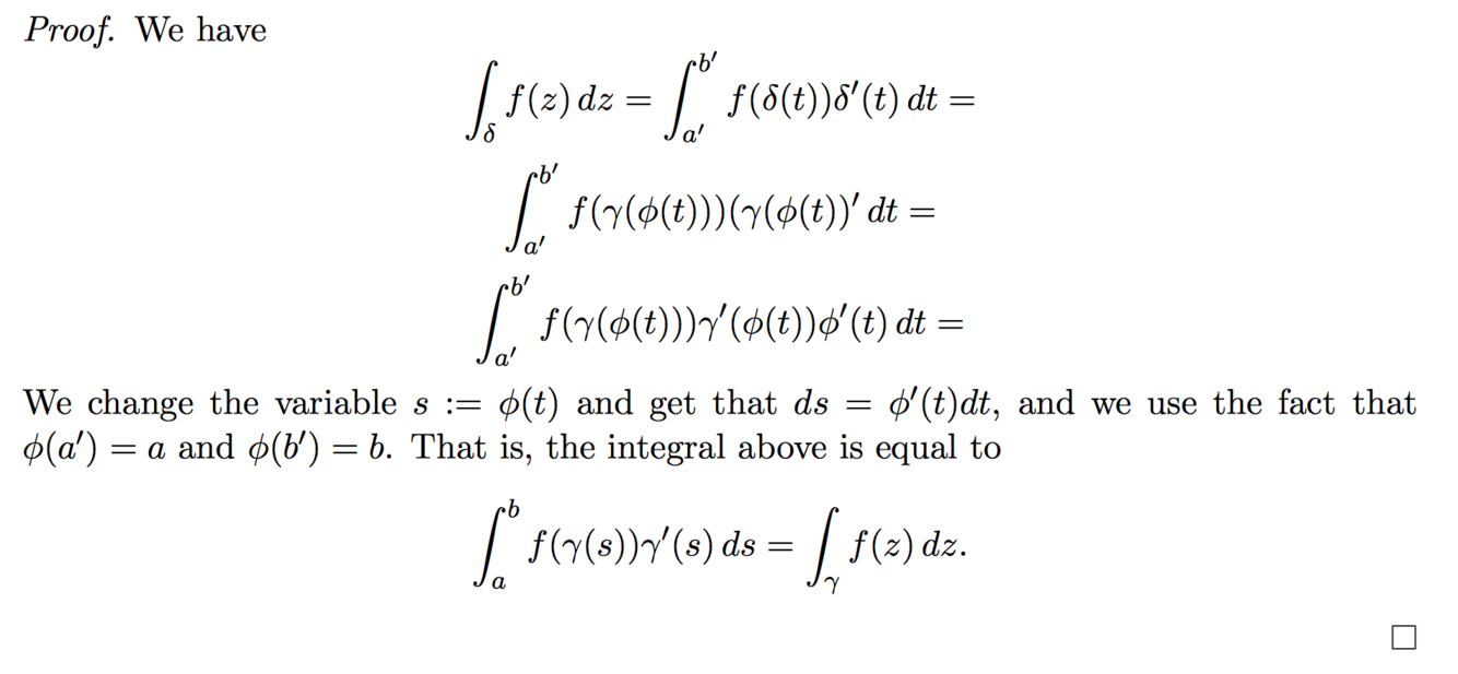
What is the reparametrisation of curves Lemma?

Prove the following Lemma.


Define piecwise C1-curve / contour.
