Complex Analysis - Epiphany > Computing (real) integrals using Complex Analysis > Flashcards
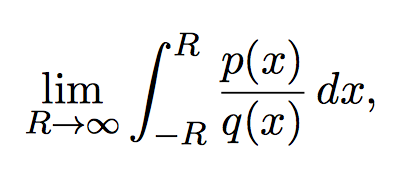
What is the general way to solve this integral?


What is the general way to solve this integral?


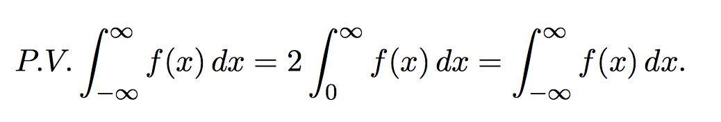
Define the Cauchy Principal Value Integral.

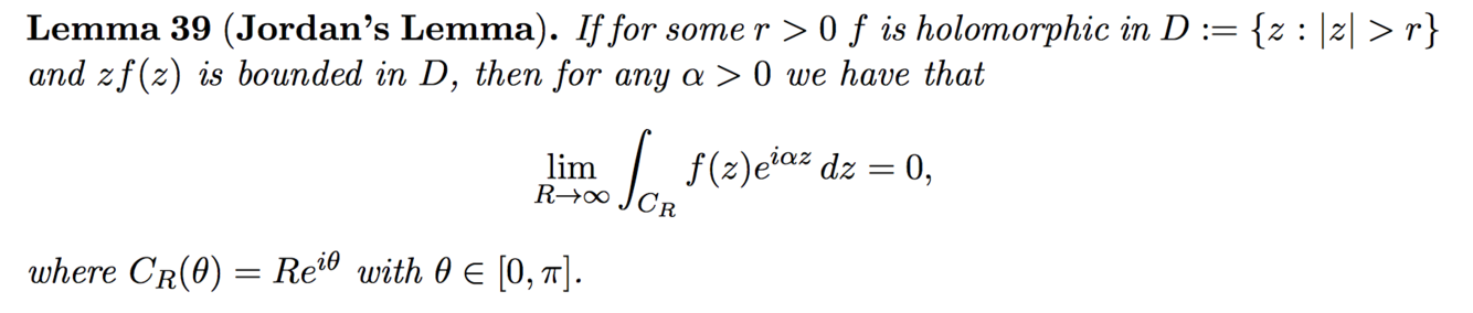
What is Jordan’s Lemma?
