Basic Principles Flashcards

(47 cards)

1
Q

Describe what a passive component is?

A

Components without a separate power supply.

Typically Modify Voltage or Current.

Includes resistors capacitors and inductors

How well did you know this?
1
Not at all
2
3
4
5
Perfectly
2
Q

Describe what an Active Component is

A

Components with their own a separate power supply.

Typically adds to the Voltage or Current.

mostly in the form of silicon chips

How well did you know this?
1
Not at all
2
3
4
5
Perfectly
3
Q

What does this symbol represent

A

Connection to Ground

Clamps the negative terminal to the potential of the earth (0v) to create a fixed reference

How well did you know this?
1
Not at all
2
3
4
5
Perfectly
4
Q

Define Current

A

Amount of charge that flows per second due to an electromotive force (voltage)

Amps

How well did you know this?
1
Not at all
2
3
4
5
Perfectly
5
Q

Explain why current flows in the opposite direction to the flow of electrons

A

. Electron gains enough energy to remove itself from its valence orbit

. Leaves behinds a local +ve charge

. An electron that has removed itself from an adjacent atoms valence shell , move into the valence orbit of the original atom. Making the local charge back to neutral

. Repeated Droping and removing of electrons from valence bands causes the positive charge to shuffle along. Creating a flow of charge.

This is current, opposite direction to the movement of electrons

How well did you know this?
1
Not at all
2
3
4
5
Perfectly
6
Q

What’s the difference between thermal excitation and applied voltage as ways that cause movement of electrons through wires

A

Thermal excitation causes electrons to move in random directions

Applied voltages cause electrons to move in a certain direction

How well did you know this?
1
Not at all
2
3
4
5
Perfectly
7
Q

Explain and Derive the Equation for Voltage

A

. Electrons that move across a battery are attracted to the atoms that have lost an electron, due to a difference in charge

. This creates an electrostatic field

Work is done moving the charge a distance within this magnetic field within the battery ,

Potential difference (voltage) is created by moving a charge between 2 points in an Electric field

How well did you know this?
1
Not at all
2
3
4
5
Perfectly
8
Q

Define Voltage

A

the potential energy that is built up per unit charge when a charge is moved against an attractive within an electric field.

How well did you know this?
1
Not at all
2
3
4
5
Perfectly
9
Q

Show how Power = Current X Volatge

A
How well did you know this?
1
Not at all
2
3
4
5
Perfectly
10
Q

Explain the Voltage Waterfall analogy

A

. Current moves from the high potential energy to the low potential energy , potential energy is dissipated as the water falls

Voltage is the pump that moves the water from the low potential to the high potential

How well did you know this?
1
Not at all
2
3
4
5
Perfectly
11
Q

Give an explanation to the unit of a volt

A

Potential difference create when 1 Joule of work is done to move 1 coulomb of charge between 2 points in an electric field

How well did you know this?
1
Not at all
2
3
4
5
Perfectly
12
Q

What is impedance

Why is impedance not necessarily resistance

A

The opposition to the flow of current

Electrical Resistance is a type of impedance, however it is not the sole thing that opposite the flow of current . (electrical Reactance for example)

How well did you know this?
1
Not at all
2
3
4
5
Perfectly
13
Q

Explain Electrical Resistance

A

Collisions between electrons and atoms in a material causing the electrons to loose energy

Dependant on a type of material

How well did you know this?
1
Not at all
2
3
4
5
Perfectly
14
Q

Explain Voltage Drops

A

Voltage/ Potential Energy is dissipated across an impedance as the electrons are loosing energy if a current is flowing.

Voltage is therefore lost and energy is disipated across a component . Causing a “Voltage drop”

How well did you know this?
1
Not at all
2
3
4
5
Perfectly
15
Q

What is Resistivity

What’s the Equation?

A

Measure of how easily charge can flow through a material

How well did you know this?
1
Not at all
2
3
4
5
Perfectly
16
Q

What’s the convention of the direction of the flow of current

A

+ve terminal to a -ve terminal

movement of vacancies (positive charge) in the valence band of the conductors atoms

How well did you know this?
1
Not at all
2
3
4
5
Perfectly
17
Q

Explain What Virtual Ground is

A

Potential difference is the difference in the electric potential of the two terminals

A 555V positive terminal and a 550V negative terminal has the same potential difference as a 5v positive and 0v negative terminal

Electric potential of Earth = 0v , hence when you connect circuit to virtual ground the negative terminal is equal to 0v

How well did you know this?
1
Not at all
2
3
4
5
Perfectly
18
Q

What is Kirchhoff voltage law

A

Sum of all voltage rises in a closed loop is equal to the sum of voltage drops in the same closed loop

Conservation of Energy

How well did you know this?
1
Not at all
2
3
4
5
Perfectly
19
Q

What’s the voltage divider equation

20
Q

Explain a DC Voltage source

A

Maintains a constant electric potential difference between the positive and negative terminals.

21
Q

What’s the difference between an ideal and Real Voltage Source?

What’s the formula associated with a Real Voltage Source

A

Ideal Voltage source has no internal impedance.
Real Voltage Source is modelled as an Ideal Voltage Source and a Resistor.

EMF = I X ( R(internal) + R(Load). )

Where I X R(load) = Terminal Voltage

22
Q
A

9 = I1 ( 20+2.5 )
I1 = 0.4 Amps
Terminal Voltage = 0.4 X 20 = 8V

9 = I2 (500+2.5)
I2 = 0.0179 Amps
Terminal Voltage = 0.0179X 500 = 8.95V

if R load»_space;»> R Internal then Terminal Voltage is larger, more voltage dissipated in load then battery

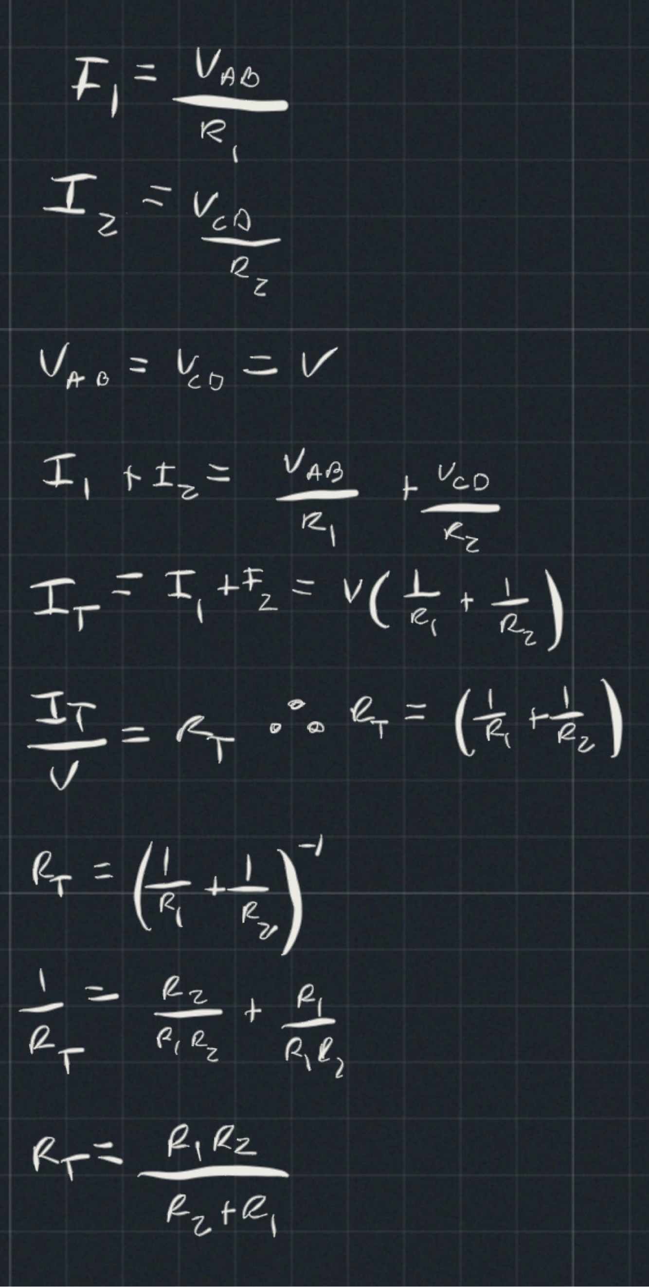
24
Q

Derive the equation for the resistance of the following circuit

25
What’s the potential difference between A & B What’s the current in each Branch
1.04V 75 ohm branch = 0.0140 amps 47,50 ohm branch = 0.0108 amps Total current = 0.0247 amps
26
34 ohms
27
Explain Thevenin’s theorem
Any linear circuit can be simplified into an equivalent circuit of a single ideal voltage source and a series resistance.
28
Find thevenin Resistance
29
Find thevenin Voltage and Draw Equivalent circuit
30
31
what are these symbols representing And Define it
Current Source Device that outputs a constant current , ideally independent (unaffected) of the load connected to it
32
Explain the difference from an ideal and a real current source
Ideal current source outputs a constant current, Voltage rise of the current source increases linearly as Rload decreases. Real current sources it is not perfectly linear. They are modelled as a High Resistance resistor in parallel to the current source.
33
Define a node
junction in a circuit where 2 more components are connected
34
Define a circuit
multiple closed loops of components and generators
35
define a loop
any internal loop of components including generators
36
define a mesh
Closed loop/path that doesn’t contain no other loops inside it.
37
define a network
sum of the connected circuits in an electronic.
38
Explain Kirchhoff current law
Sum of currents into a node is equal to the sum of currents exiting a node. Conservation of charge
39
What’s the Current Divider Equation
40
Describe Mesh Analysis
Identifying Circulating Currents that flow around the circuits mesh’s Construct Equations using KVL , including all circulating currents that interact with the mesh. Solve for Current
41
Describe Superposition
Calculate the response to only 1 voltage or current source , by replacing all other voltages sources with short circuits and current sources with open circuits Repeat for other sources Superimpose the results from each calculation
42
Use mesh analysis to calculate the following currents i3 is incorrect decimal
Direction of the mesh’s current you are analysing is always positive
43
44
45
Calculate the Theverin Resistance of the following circuit
5 ohms
46
Calculate the Theverin Voltage of the following circuit Rth = 5 Ohms
3v
47